时间:2025-06-25 21:45:54
1、填空题 (14分)据报道,一种名为苹果醋(ACV)的浓缩饮料风靡美国。苹果醋是由苹果发酵而成的酸性饮品,具有解毒、降脂、减肥和止泻等功效。苹果酸是这种饮料中的主要酸性物质。已知:在下列有关苹果酸(A)的
转化关系中,B能使溴的四氯化碳溶液褪色。
回答下列问题:
(1)苹果酸分子中所含官能团的名称是?。
(2)苹果酸不能发生反应的有?(选填序号);
①加成反应?②酯化反应?③加聚反应?④氧化反应?⑤消去反应?⑥取代反应
(3)写出B、C的结构简式: B:??C:?
(4)写出A→D的化学方程式:
??。
(5)苹果酸(A
)有多种同分异构体,写出所有符合下列条件的同分异构体的结构简式:
①能发生银镜反应;?②能与苯甲酸发生酯化反应;?③能与乙醇发生酯化反应;
④1mol该同分异构体可与足量的钠反应放出1.5mol氢气(分子中同一碳原子不能连有2个羟基)
?。
2、选择题 已知酸性
>H2CO3>
>HCO3-,现要将
转变为
,可行的方法是( ? )
A.与足量NaOH溶液共热,再通入足量HCl
B.与稀硫酸共热后,加入足量的NaOH
C.加热该物质溶液,再通入足量的CO2
D.与足量NaOH溶液共热,再通入足量CO2
3、选择题 木质素是制浆造纸工业的副产物,具有优良的物理化学特点,木质素的一种单体结构简式如下图所示。下列说法错误的是
[? ]
A.该物质的分子式是C10H12O3,不属于芳香烃
B.每摩尔该物质最多能消耗4 molH2
C.遇FeCl3溶液呈血红色
D.该物质能发生酯化反应
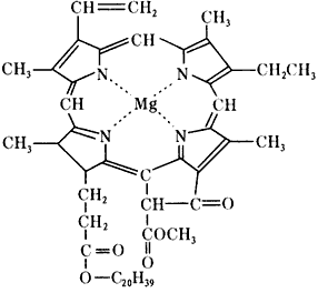
4、选择题 我国科学工作者合成了许多结构复杂的天然有机化合物,如:叶绿素、血红素、维生素B等。叶绿素的结构如图所示,下列有关叶绿素的说法正确的是 
[? ]
A.叶绿素属于高分子化合物
B.叶绿素分子中含有两种类型的双键
C.叶绿素不属于芳香烃
D.在一定条件下,叶绿素能发生加成、水解、酯化等反应
5、选择题 某有机物X能发生水解反应,水解产物为Y和Z。同温同压下,相同质量的Y和Z的蒸气所占体积相同,化合物X可能是
[? ]
A.乙酸丙酯?
B.甲酸乙酯?
C.乙酸甲酯?
D.乙酸乙酯