时间:2021-06-11 06:54:22
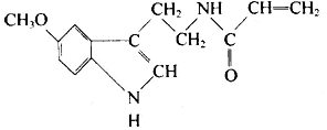
1、选择题 脑白金又名褪黑激素,据报道它具有提高免疫力、促进睡眠等功能,其结构简式如下图,下列有关脑白金说法不正确的是
?[? ]
A.能发生加成反应
B.属于芳香族化合物
C.分子式为C14H16N2O2
D.不能使高锰酸钾酸性溶液褪色
2、填空题 A.
B.
C.
D.
在上述有机化合物中:
(1)属于烃的是____________(填写相应代号,下同);
(2)属于卤代烃的是________________________;
(3)既属于醛又属于酚的是__________________;
(4)既属于醇又属于羧酸的是________________。
3、选择题 咖啡鞣酸具有较广泛的抗菌作用,其结构简式如下所示
关于咖啡鞣酸的下列叙述不正确的是
[? ]
A.分子式为C16H18O9
B.与苯环直接相连的原子都在同一平面上
C.1 mol咖啡鞣酸水解时可消耗8 mol NaOH
D.与浓溴水既能发生取代反应又能发生加成反应
4、选择题 红葡萄酒密封储存时间越长,质量越好,香味越浓郁。其原因是久置的葡萄酒中,与原来相比含有更多的
[? ]
A.(C6H10O5)n
B.CH3CH2OH
C.CH3COOC2H5
D.CH3COOH
5、选择题 下列化合物中,既显酸性又能发生酯化反应和消去反应的是: