高考化学知识点整理《物质的组成》在线测试(2020年最新版)(四)

时间:2021-06-11 06:43:16

微信搜索关注"91考试网"公众号,领30元,获取事业编教师公务员等考试资料40G

1、填空题  在原子序数1—18号元素 中,按要求用合适的化学用语填空:
(1)与水反应最剧烈的金属是_____________。
(2)与水反应最剧烈的非金属单质是_____________。
(3)原子半径最小的元素是___________。
(4)最稳定气态氢化物的化学式是______________。
(5)最高价氧化物对应水化物的酸性最强的化学式是_______________。


参考答案:(1)Na(或钠)。(2)? F2?(3) H(4) HF?(5)? HClO4


本题解析:(1)与水反应最剧烈的金属是Na(或钠);(2)与水反应最剧烈的非金属单质是F2 ;
(3)原子半径最小的元素是 H ;(4)最 稳定气态氢化物的化学式是 HF;(5)最高价氧化物对应水化物的酸性最强的化学式是 HClO4?。
点评:本题考查了元素周期表、元素周期律,该知识点是高考考查的重点和难度,本题属于对基础知识的考查,本题比较简单。


本题难度:一般



2、选择题  下列说法正确的是(?)
A.若发生A2+ 2D-=2A-+D2反应,则氧化性D2>A2
B.若X原子的质子数是a,中子数是b,则该核素可表示为X
C.若相同温度和浓度的两种钠盐溶液的碱性NaA<NaB,则酸性HA>HB
D.若主族元素的简单离子R 2-和M+的电子层结构相同,则原子序数R>M


参考答案:C


本题解析:A元素由0价降低到-1价,被还原,则A2做氧化剂,D元素由-1价升高到0价,被氧化,则D2是氧化产物,故氧化性:A2>D2,A错误;
B中左上角应表示质量数=a+b,故B错误;
两盐溶液呈碱性,是因为A-、B-水解,且越弱越水解,故说明酸性HA>HB,故C正确;
D中两者的关系为:上周期? R 2?
下周期 M+?,则原子序数M>R,故D错误;


本题难度:简单



3、选择题  下列说法正确的是
A.镁、铝、铜、铁、钠五种元素中,铜和铁均为副族元素
B.10Be和9Be是中子数不同质子数相同的同种核素
C.元素X位于元素Y的上一周期,X原子得电子能力强于Y原子
D.短周期的同主族元素原子序数差值可能为2、8、10


参考答案:D


本题解析:A、铁是第Ⅷ族元素,不是副族,A不正确;B、10Be和9Be是中子数不同质子数相同的不同种核素,二者互为同位素,B不正确;C、元素X位于元素Y的上一周期,氮X原子得电子能力不一定强于Y原子,例如钠是第三周期元素,F是第二周期元素,F的得电子能力强于Na的,C不正确;D、由于周期表中每一周期含有的元素种类分别是2、8、8、18、18、32、32(排满后),所以短周期的同主族元素原子序数差值可能为2、8、10,D正确,答案选D。


本题难度:一般



4、填空题  (9分)五种短周期元素A、B、C、D、E原子序数逐渐增大。A和B在同一周期,A是同周期元素中半径最大的(不包含稀有气体);B原子的次外层电子数是最外层电子数的4倍;C是同周期简单离子中半径最小的元素;D元素原子的p轨道有3个未成对电子;E原子的K、L层电子数之和比K、M层电子数之和多1个。
(1)写出E元素基态原子的外围电子排布式?
(2)比较第一电离能的大小:B?C(填大于、小于或等于)
(3)分别写出D、E的最高价氧化物对应水化物的化学式??,并比较二者酸性(或碱性)的强弱?(填大于、小于或等于)
(4)写出B的最高价氧化物对应水化物与E的最高价氧化物对应水化物反应的离子方程式?
(5)写出C的最高价氧化物对应水化物与A的最高价氧化物对应水化物反应的化学方程式?


参考答案:(9分)(1)外围电子排布式:3s23p5(2)B大于C(填大于、小于或等于)
(3)?H3PO4 ?? HClO4??小于??
(4)离子方程式?Mg(OH)2 + 2H+ = Mg2+ + 2H2O?
(5)化学方程式?Al(OH)3+ NaOH = NaAlO2 + 2H2O?


本题解析:略


本题难度:简单



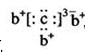
5、选择题  a、b、c、d是四种短周期元素。a、b、d同周期,c、d同主族。a的原子结构示意图为,b与c形成化合物的电子式为下列比较中正确的是(?)
A.原子半径:a>c>d>b
B.电负性:a>b>d>c
C.最高价含氧酸的酸性:c>d>a
D.第一电离能:d>a>b>c


参考答案:C


本题解析:由a的原子结构示意图可知,在短周期元素中,只有x=2时符合要求,即a为硅元素,且b、d均为第三周期元素;
由b与c形成化合物的电子式可看出,b元素可形成+1价阳离子,即钠元素;而c可形成—3价阴离子,可知为第VA族元素,它只能为第二周期元素N,进而可知d为磷元素
A:电子层数越大,半径越大,同周期自左向右半径逐渐减小,故原子半径b元素钠最大,不正确
B:非金属性越强,电负性越大,即c元素的电负性最大,排除
C:非金属性越强,最高价含氧酸的酸性越强,正确
D:金属性越强,第一电离能越小,即b元素钠最小,排除
答案为C


本题难度:简单




首页 上页 3 4 5 下页 尾页 4/10/10
微信搜索关注"91考试网"公众号,领30元,获取公务员事业编教师考试资料40G
【省市县地区导航】【考试题库导航】
 ★ 高考省级导航 ★ 
全国 A安徽 B北京 C重庆 F福建 G广东 广西 甘肃 贵州 H河南 河北 湖南 湖北 黑龙江 海南 J江苏 江西 吉林 L辽宁 N内蒙古 宁夏 Q青海 S山东 山西 陕西 四川 上海 T天津 X新疆 西藏 Y云南 Z浙江
 ★ 高考信息汇总 ★ 
 ★ 高考历年真题 ★ 
 ★ 高考历年真题 ★ 
 ★ 高考题库 ★ 
 ★ 高考题库 ★ 

电脑版  |  手机版  |  返回顶部