时间:2021-06-11 06:18:41
1、简答题 有机化合物A~H的转换关系如下所示:
请回答下列问题:
(1)链径A有支链且只有一个官能团,其相对分子质量在65~75之间,1?mol?A完全燃烧消耗7mol氧气,则A的结构简式是______,名称是______;
(2)在特定催化剂作用下,A与等物质的量的H2反应生成E.由E转化为F的化学方程式是______;
(3)G与金属钠反应能放出气体.由G转化为H的化学方程式是______;
(4)①的反应类型是______;③的反应类型是______;
(5)链径B是A的同分异构体,分子中的所有碳原子共平面,其催化氢化产物为正戊烷,写出B所有可能的结构简式______;
(6)C也是A的一种同分异构体,它的一氯代物只有一种(不考虑立体异构).则C的结构简式为______.
参考答案:链烃A有支链且只有一个官能团,其相对分子质量在65~75之间,设A的分子式为CxHy,l?mol?A完全燃烧消耗7mol氧气,则x+y4=7,且65<12x+y=8x+28<75,x取正整数,所以x=5,y=8,所以A的分子式为C5H8,A含有支链且只有一个官能团,所以A是3-甲基-1-丁炔;A与等物质的量的H2反应生成E,则E是3-甲基-1-丁烯;E和溴发生加成反应生成F,所以F的结构简式为:
,F和氢氧化钠的水溶液发生取代反应生成G,G的结构简式为
,G和1、4丁二酸反应生成H,H的结构简式为:
.
(1)通过以上分析知,A的结构简式为:
,其名称是3-甲基-1-丁炔,
故答案为:
;3-甲基-1-丁炔;
(2)E和溴发生加成反应生成F,反应方程式为:
,
故答案为:
;
(3)G和1、4丁二酸反应生成H,反应方程式为:
,
故答案为:
;
(4)该反应属于加成反应(或还原反应),该反应属于取代反应或水解反应,
故答案为:加成反应(或还原反应),该反应属于取代反应或水解反应;
(5)链烃B是A的同分异构体,分子中的所有碳原子共平面,其催化氢化产物为正戊烷,则B中含有一个碳碳三键或两个碳碳双键,根据乙烯和乙炔的结构知,B所有可能的结构简式
,
故答案为:
;
(6)C也是A的一种同分异构体,它的一氯代物只有一种(不考虑立体异构),则该分子中只含一种氢原子,A中含有一个碳碳三键,分子中含有一个碳环就减少一个碳碳键,则C中应该含有两个碳环,所以C的结构简式为:
,故答案为:
.
本题解析:
本题难度:一般
2、填空题 具有水果香味的中性物质A可以发生下列变化:
(1) 推断下述物质的结构简式:
A:________________? B: ________________?
C: ________________? D: ________________
(2) 写出下列变化的化学方程式,并注明化学反应类型:
G→高分子化合物:?,反应类型?。
参考答案:(1)A:CH3COOCH2CH3;B:CH3COONa;C:CH3CH2OH;D:CH3CHO
CH3COOCH2CH3?+NaOH
CH3COONa +C2H5OH;
CH3CHO+2Ag(NH3)2OH
CH3COONH4+H2O+2Ag↓+3NH3?加聚反应
本题解析:G和溴水反应生成1,2-二溴乙烷,所以G应该是乙烯,则C应该是乙醇。乙醇发生催化氧化生成乙醛,所以D是乙醛。乙醛发生银镜反应生成乙酸铵,即E是乙酸铵。乙酸铵和氢氧化钠溶液反应生成乙酸钠和氨气,则B是乙酸钠,所以A是乙酸乙酯。
点评:该题是高考中的常见题型和考点,属于中等难度的试题。试题贴近高考,基础性强,在注重对学生基础知识巩固与训练的同时,侧重对学生能力的培养与解题方法的指导和训练,旨在考查学生灵活运用基础知识解决实际问题的能力,有利于培养学生的逻辑推理能力和知识的迁移能力。该题的关键是记住常见官能团的结构、性质,然后结合结构简式和题意灵活运用即可。
本题难度:一般
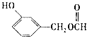
3、填空题 (15分)芳香化合物A、B互为同分异构体,B的结构简式是
A经①、②两步反应得C、D和E。B经①、②两步反应得E、F和H。上述反应过程、产物性质及相互关系
如图所示。
(提示:CH3COO-
CH3COONa+
-ONa)
⑴写出E的结构简式?
??。
⑵A有2种可能的结构,写出相应的结构简式:
?、?。
⑶F和小粒金属钠反应的化学方程式是:?。
⑷写出F在浓H2SO4作用下在170℃发生反应的化学方程式:
?。
⑸写出F与H在加热和浓H2SO4催化作用下发生反应的化学方程式:
?,
实验现象为:?,反应类型:?反应。
⑹在B、C、D、F、G、I化合物中,互为同系物的是?。
参考答案:
本题解析:略
本题难度:一般
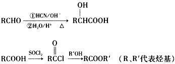
4、填空题 (14分)2,3-二氢呋喃是抗肿瘤药物的中间体,也用于电子化学品和香料中,可由丙烯为原料合成:
已知:
(1)写出A、E的结构简式: A ________________? E ________________。
(2)试剂①是___________,该步反应类型是?反应。
(3)反应③的条件是____________,该步还产生另一有机副产物:____________。
(4)写出满足下列条件的呋喃的一种同分异构体的结构简式??。
①没有支链,且一取代产物只有两种;②与银氨溶液不发生银镜反应;
(5)四氢呋喃还可以由化合物G (C4H9ClO)在氢氧化钠作用下制得,请写出该反应的方程式______?_____。
(6)化合物
是合成某些药物的中间体。试设计合理方案由化合物
合成
。提示:①合成过程中无机试剂任选;②
在400摄氏度金属氧化物条件下能发生脱羰基反应;③合成反应流程图表示方法示例如下:
参考答案:(1)A:CH2=CH—CH2Br? E:
?(2)甲醛;加成
(3)氢氧化钠的醇溶液,加热;
(4)
或CH≡CCOCH3 (以上各1分)
(5)ClCH2 CH2 CH2 CH2OH+NaOH
?
+NaCl+H2O?(3分)
(6)
(4分,每一步1分)
本题解析:略
本题难度:简单
5、推断题 镇痉药物C、化合物N以及高分子树脂
的合成路线如下:
已知: 
(1)A的含氧官能团的名称是___________。
(2)A在催化剂作用下可与H2反应生成B。该反应的反应类型是__________。
(3)酯类化合物C的分子式是C15H14O3,其结构简式是___________。
(4)A发生银镜反应的化学方程式是____________。
(5)扁桃酸
有多种同分异构体。属于甲酸酯且含酚羟基的同分异构体共有____种,写出其中一种含亚甲基(-CH2-)的同分异构体的结构简式______________。
(6)F与M合成高分子树脂的化学方程式是______________________。
(7)N在NaOH溶液中发生水解反应的化学方程式是________________。
参考答案:(1)醛基
(2)加成反应 (3)
(4)
(5)13;
(或
、
)
(6)
(7)
本题解析:
本题难度:困难