时间:2021-02-18 07:11:44
1、填空题 (2分)写出:2,2,3-三甲基戊烷的结构简式?
2、填空题 (10分)有机化学中的反应类型较多,将下列反应归类(填序号)。
①由乙炔制氯乙烯 ②乙烷在空气中燃烧③乙烯使溴的四氯化碳溶液褪色?
④乙烯使酸性高锰酸钾溶液褪色 ⑤由乙烯制聚乙烯?
⑥甲烷与氯气在光照的条件下反应 ⑦溴乙烷和氢氧化钠乙醇溶液共热
⑧溴乙烷和氢氧化钠溶液共热
其中属于取代反应的是?;属于氧化反应的是.?;属于加成反应的是?;属消去反应的是?;属于聚合反应的是?。
3、选择题 能在有机物的分子中引入羟基的 反应类型有:①酯化反应;②取代反应;③消去反应;④加成反应;⑤水解反应;⑥还原反应。其中正确的组合有( )
A.①②③
B.②④⑤
C.②④⑤⑥
D.②③④⑤⑥
4、填空题 用系统命名法命名下列各物质
(1)
_______________;
(2)
____________________。
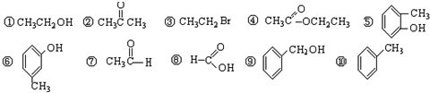
5、简答题 Ⅰ.1)请对下列有机物进行分类,把正确答案(编号)填写在表格对应类别中
| 芳香烃 | 卤代烃 | 醇 | 酚 | 醛 | 酮 | 羧酸 | 酯 |
