时间:2021-02-18 06:59:13
1、填空题 (11分)肉桂酸甲酯是一种常用的调制具有水果香味的食用香精。下图是由A合成聚肉桂酸甲酯等有机物的合成信息:
已知:

②F为由两分子D间反应形成含有三个六元环的酯;

请回答下列问题:
(1)D→G的反应类型是________________;G→H的反应类型是________________;
(2)D转化为E的化学方程式是______________________________________________;
(3)下列物质的结构简式:A_______________________________;F________________;
(4)符合以下条件的D的同分异构体有_____种,写出其中一种的结构简式________________。
①苯环上有2种氢,3个取代基; ②能发生银镜反应; ③遇FeCl3溶液显色。
(5)请用合成路线流程图表示
→G的合成线路,并注明反应条件。
提示:①氧化羟基的条件足以氧化有机分子中的碳碳双键;
②合成过程中无机试剂任选;
③合成路线流程图示例如下:
2、选择题 有机物甲的分子式为C7H14O2,在酸性条件下,甲水解为乙和丙两种有机物,在相同的温度和压强下,同质量的乙和丙的蒸气所占体积相同,则甲的可能结构有
[? ]
A.4种?
B.6种
C.8种?
D.10种
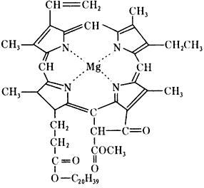
3、选择题 我国科学工作者合成了许多结构复杂的天然有机化合物,如:叶绿素、血红素、维生素B等。叶绿素的结构如图所示,下列有关叶绿素的说法正确的是 
[? ]
A.叶绿素属于高分子化合物
B.叶绿素分子中含有两种类型的双键
C.叶绿素不属于芳香烃
D.在一定条件下,叶绿素能发生加成、水解、酯化等反应
4、选择题 英国媒体2005年报道,某品牌牙膏中含有消毒剂三氯生,它遇含氯自来水能生成哥罗芳(三氯甲烷),哥罗芳能导致肝病甚至导致癌症。已知三氯生的结构简式如图。有关说法错误的是 
[? ]
A.三氯生属于烃
B.三氯生属于芳香化合物
C.三氯生分子中含有羟基、醚键、氯原子三种官能团
D.三氯生的分子式为C12H7Cl3O2
5、计算题 (10分)实验室合成乙酸乙酯如(右图所示),得到含有乙醇、乙酸和水的乙酸乙酯粗产品。请回答下列问题:(已知:乙醇、乙酸、乙酸乙酯的沸点依次是
(78.5℃、118℃、77.1℃)
?
(1)在左侧试管中除了加入乙醇和乙酸外,还应加入的试剂是?
该试剂的作用是:①_____ _ __? ②_____________?。
(2)反应结束后将右侧的试管取下,振荡、静置,观察到的现象是
。
(3)现拟分离含乙酸、乙醇和水的乙酸乙酯粗产品,下图是分离操作流程,
请在图中圆括号内填入适当的试剂,在方括号内填入适当的分离方法。
试剂a是__________,b是_______________;
分离方法①是__________,②是______________,③是_______________。
写出C → D 反应的化学方程式
?