时间:2021-02-18 06:43:43
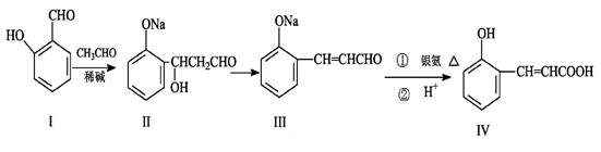
1、填空题 邻羟基桂皮酸(IV)是合成香精的重要原料,下列为合成邻羟基桂皮酸(IV)的路线之一。
试回答:
(1)I中含氧官能团的名称?和?。
(2)II→III的反应类型?。
(3)①IV与乙醇和浓硫酸混合加热的化学方程式?。
②IV与过量NaOH溶液反应的化学方程式?。
(4)有机物X与IV互为同分异构体,且X有如下特点:
①是苯的对位取代物, ②能与NaHCO3反应放出气体 ,③能发生银镜反应。
请写出X的一种结构简式?。
(5)下列说法正确的是
A.I的化学式为C7H8O2
B.I遇氯化铁溶液呈紫色
C.II能与NaHCO3溶液反应
D.1mol有机物IV最多能与4mol H2加成
2、填空题 [化学—选修有机化学基础](15分).
雷诺嗪是治疗慢性心绞痛首选新药。雷诺嗪合成路线如下:
(1)雷诺嗪中含氧官能团,除酰胺键(-NHCO-)外,另两种官能团名称:____、____。
(2)写出满足下列条件A的同分异构体的数目____。
①A能与FeCl3溶液发生显色反应;②1molA可与2molNaOH反应。
(3)C→D中,加入适量NaOH的作用是:____________。
(4)从雷诺嗪合成路线得到启示,可用间二甲苯、ClCH2COCl、(C2H5)2NH(无机试剂任用)合成盐酸利多卡因,请在横线上补充反应物,在方框内补充生成物。
已知:

3、填空题 (10分)分子中只含有2个碳原子的某烃A是其同系物中含碳量最高的物质; 1mol A与1mol HCl加成可得到B;1mol A与1mol H2加成可得到C,并能继续发生如下列图表所示的转变:</PGN0306.TXT/PGN>
据此回答下列问题
(1)写出实验室制取A的反应方程式 ___? _ ____________? ___? ____;
(2)以B为原料经过加聚反应所得的合成树脂的结构简式为__? ___? _____。
(3)写出由D和F生成G的反应方程式:
? ________________________? ________? __
(4)写出E与银氨溶液反应的化学方程式:
___________? ____? __? ____? _________
(5)写出符合以下两个条件的G的同分异构体,①能水解?②能发生银镜反应:
?。
4、填空题 苯酚是重要的化式原料,通过下列流程可合成阿司匹林、香料和一些高分子化合物.
已知:
(1)写出C的结构简式______,写出G的结构简式______.
(2)写出反应②的化学方程式______,写出反应⑧的化学方程式______.
(3)写出反应类型:⑦______.
(4)下列可检验阿司匹林样品中混有水杨酸的试剂是______.(填字母)
(a)?三氯化铁溶液?(b)?碳酸氢钠溶液?(c)?石蕊试液.
5、简答题 化合物H是重要的有机化合物,可由E和F在一定条件下合成:(有些反应条件省略如:加热等)
已知以下信息:
①A属于芳香烃,H属于酯类化合物.
②I的核磁共振氢谱为二组峰,且峰的面积比为6:1.
回答下列问题:
(1)B的结构简式______,C的官能团名称______.
(2)B→C______;G→J两步的反应类型______,
(3)①E+F→H的化学方程式______.
②I→G的化学方程式______.
(4)H的同系物K比H相对分子质量小28,K的同分异构体中能同时满足如下条件:
①属于芳香族化合物
②能和饱和NaHCO3溶液反应放出CO2,共有______种(不考虑立体异构).
K的一个同分异构体能发生银镜反应,也能使FeCl3溶液显紫色,苯环上有两个支链,苯环上的氢的核磁共振氢谱为二组峰,且峰面积比为1:1,写出K的这种同分异构体的结构简式______.