时间:2021-02-18 05:18:33
1、选择题 三聚氰胺(结构式如图所示)是一种重要的化工原料,可用于阻燃剂、水泥减水剂和高分子合成等领域。一些不法分子却往牛奶中加入三聚氰胺,以提高奶制品的含氮量。下列说法正确的是 
[? ]
A.三聚氰胺是一种蛋白质
B.三聚氰胺是高分子化合物
C.三聚氰胺分子中含有碳碳双键
D.三聚氰胺的分子式为C3H6N6
参考答案:D
本题解析:
本题难度:一般
2、选择题 下列关于有机物的说法中正确的是
[? ]
A.有机物只有在生物体内才能合成
B.含有碳元素的物质一定是有机物
C.有机物都能燃烧
D.有机物都是含有碳元素的化合物
参考答案:D
本题解析:
本题难度:简单
3、选择题 下列三种有机物是某些药物中的有效成分。下列说法正确的是
[? ]
A.三种有机物都是芳香烃
B.三种有机物苯环上的氢原子若被氯原子取代,其一氯代物都只有2种
C.将等物质的量的三种物质加入NaOH溶液中,阿司 匹林消耗NaOH最多
D.1 mol对羟基桂皮酸最多可以和1 mol Br2 反应 中,对羟基桂皮酸消耗氢氧化钠最多
参考答案:C
本题解析:
本题难度:一般
4、选择题 有关下图所示化合物的说法不正确的是
[? ]
A.既可以与Br2的CCl4溶液发生加成反应,又可以在光照下与Br2发生取代反应
B.1 mol该化合物最多可以与含3 mol NaOH的溶液反应
C.既可以催化加氢,又可以使酸性KMnO4溶液褪色
D.既可以与FeCl3溶液发生显色反应,又可以与NaHCO3溶液反应放出CO2气体
参考答案:D
本题解析:
本题难度:简单
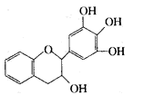
5、选择题 “茶倍健”牙膏中含有茶多酚,但茶多酚是目前尚不能人工合成的纯天然、多功能、高效能的抗氧化剂和自由基净化剂。其中没食子儿茶素(EGC)的结构如图所示。 关于EGC的下列叙述中正确的是
[? ]
A.分子中所有的原子共面
B.1molEGC与4molNaOH恰好完全反应
C.分子式为C15H14O5?
D.遇FeCl3溶液不能发生显色反应
参考答案:C
本题解析:
本题难度:一般