时间:2020-08-13 07:02:07
1、填空题 已知乳酸的结构简式为CH3CH(OH)COOH。
试回答:
(1)乳酸分子中含有________和_________两种官能团(写名称);
(2)乳酸与金属钠反应的化学方程式为___________________________________________________________________;
(3)乳酸与NaOH溶液反应的化学方程式为___________________________________________________________________;
(4)当乳酸和浓硫酸共热时,能产生多种酯类化合物,任意写出两种该类产物的结构简式_________________________________________________________________。
参考答案:(1)羟基、 羧基
(2)
(3)
(4)
或
本题解析:
本题难度:一般
2、选择题 八角茴香中含有一种抗禽流感病毒的重要成分莽草酸,莽草酸是目前世界上被证明对抗禽流感的唯一良方——达菲的原材料。它的结构简式如下图,下列关于莽草酸的说法正确的是? 
[? ]
A.莽草酸的分子式为C7H10O5 ?
B.莽草酸既可发生消去反应,也可被催化氧化生成醛 ?
C.莽草酸既能与KMnO4溶液反应,也能与FeCl3溶液反应 ?
D.1mol莽草酸分子能与4molNaOH发生中和反应
参考答案:A
本题解析:
本题难度:一般
3、选择题 苯甲酸(C6H5COOH)和山梨酸(CH3-CH=CH-CH=CH-COOH)都是常用的食品防腐剂。下列物质中只能与其中一种酸发生反应的是
[? ]
A.金属钠
B.氢氧化钠
C.溴水
D.乙醇
参考答案:C
本题解析:
本题难度:简单
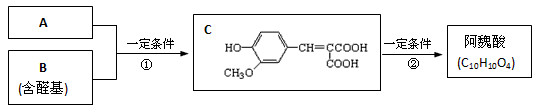
4、填空题 A与芳香族化合物B在一定条件下反应生成C,进一步反应生成抗氧化剂阿魏酸。 A的相对分子质量是
104,1 mol A与足量NaHCO3反应生成2 mol气体。已知:
RCHO+CH2(COOH)2
RCH=C(COOH)2+H2O,RCH=C(COOH) 2?
RCH=CHCOOH+CO2
(1)C可能发生的反应是____________(填序号)。
a.氧化反应
b.水解反应
c.消去反应
d.酯化反应
(2)等物质的量的C分别与足量的Na、NaHCO3、NaOH反应时消耗Na、NaHCO3、NaOH的物质的量之比是___________。
(3)A的分子式是____________。
(4)反应①的化学方程式是___________________________。
(5)符合下列条件的阿魏酸的同分异构体有_____种,写出其中任意一种的结构简式。____________。 ①在苯环上只有两个取代基;
②在苯环上的一氯取代物只有两种;
③1 mol该同分异构体与足量NaHCO3反应生成2 molCO2。
参考答案:(1)a、d;
(2)3:2:3;
(3)C3H4O4;
(4)
+ CH2(COOH)2?
+H2O
(5)4种 ;(写出下列四种结构中的任意一种均可)
本题解析:
本题难度:一般
5、选择题 某有机物的结构简式为
,它可以发生反应的类型有
[? ]
①加成反应 ②消去反应 ③水解反应 ④酯化反应 ⑤氧化反应 ⑥加聚反应
A.①②③④?
B.①②④⑤
C.①②⑤⑥?
D.③④⑤⑥
参考答案:B
本题解析:
本题难度:简单