时间:2020-08-13 06:13:17
1、简答题 以下都是我们生活、学习中常见的物质,请按照要求回答相关问题:
①干冰?②氧化钙?③墨水?④大理石?⑤盐酸?⑥硝酸?⑦澄清石灰水
⑧氯化钙溶液?⑨氯化银沉淀?⑩有尘埃的空气?(11)硝酸银溶液
(12)稀豆浆?(13)纯碱溶液?(14)水?(15)Ca(NO3)2溶液
(1)属于氧化物的是______(2)能发生丁达尔效应的是______
(3)属于电解质的是______(4)属于非电解质的是______
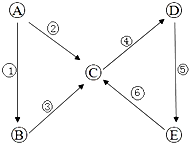
(5)根据酸、碱、盐、氧化物相关知识,结合下图物质之间的转化关系,完成以下问题,已知物质A、B、C、D、E的组成中均含有一种相同元素,①②③④⑤⑥代表反应序号,且物质A是一种氧化物,E难溶于水,以下转化反应中所有反应物、生成物均来自于上述15种物质或其溶液.
(a)要实现如图所示的各物质之间的变化,用到次数最多的试剂是______(填试剂名称)
(b)写出符合反应⑤的一个化学方程式______
(c)写出反应②的离子反应方程式______;反应⑥的离子反应方程式______
(d)上述6个反应从类型上看,有一个与其他5个不相同,它是反应______(填反应序号).
参考答案:(1)氧化物是指两种元素组成,其中一种是氧元素的化合物;属于氧化物的是①CO2,②氧化钙,(14)H2O,故答案为:①②(14);
(2)发生丁达尔现象的是胶体分散系的性质;③墨水是解题分散系,⑩有尘埃的空气是气溶胶,(12)稀豆浆是蛋白质水中形成的胶体,故答案为:③⑩(12);
(3)电解质是水溶液中或熔融状态下导电的化合物;酸碱盐都是电解质,水、活泼金属氧化物属于电解质;所以②氧化钙活泼氧化物是电解质,⑥硝酸是酸属于电解质,⑨氯化银沉淀 是盐属于电解质,(14)水 是电解质,故答案为:②⑥⑨(14);
(4)非电解质是水溶液中和熔融状态下都不导电的化合物;①干冰是二氧化碳,溶于水生成电解质碳酸,是本身电离出离子的化合物,故答案为:①;
(5)物质A、B、C、D、E的组成中均含有一种相同元素,①②③④⑤⑥代表反应序号,且物质A是一种氧化物,E难溶于水,以下转化反应中所有反应物、生成物均来自于上述15种物质或其溶液,依据转化关系的反应特征分析判断出各物质;E难溶于水判断为大理石,推断ABCD中 都含钙元素,A为氧化钙;C为氯化钙,所以B为氢氧化钙,与氯化钙反应的是硝酸银;判断A、为CaO;B、Ca(OH)2;C、CaCl2;D、Ca(NO3)2;E、CaCO3;
(a)要实现如图所示的各物质之间的变化,用到次数最多的试剂是盐酸,故答案为:盐酸;
(b)符合反应⑤的反应是一个化学方程式:Ca(NO3)2+Na2CO3=CaCO3↓+2NaNO3,故答案为:Ca(NO3)2+Na2CO3=CaCO3↓+2NaNO3;
(c)反应②是氧化钙溶于酸的反应,反应的离子反应方程式为:CaO+2H+=Ca2++H2O;反应⑥是碳酸钙溶于酸的反应,反应的离子反应方程式为:CaCO3+2H+=Ca2++H2O+CO2↑,
故答案为:CaO+2H+=Ca2++H2O;CaCO3+2H+=Ca2++H2O+CO2↑;
(d)上述6个反应从类型上看,①是化合反应,②③④⑤⑥是复分解反应;①与其他5个不相同,故答案为:①.
本题解析:
本题难度:一般
2、选择题 下列物质中能透过半透膜的是( )
A.Fe(OH)3胶体
B.NaCl溶液
C.混有泥沙的河水
D.牛奶
参考答案:A、因胶体不能透过半透膜,故A错误;
B、因溶液能透过半透膜,故B正确;
C、因浊液不能透过滤纸,也不能透过半透膜,混有泥沙的河水是浊液,故C错误;
D、因胶体不能透过半透膜,牛奶是胶体,故D错误;
故选:B.
本题解析:
本题难度:简单
3、选择题 在一定温度下,向足量的饱和Na2CO3溶液中加入1.06 g无水Na2CO3,搅拌后静置,最终所得晶体的质量为
A.等于1.06 g
B.大于1.06 g,而小于2.86g
C.等于2.86g
D.大于2.86g
参考答案:D
本题解析:向已达饱和状态的Na2CO3溶液中加入无水Na2CO3,由于溶质量增加,使晶体Na2CO3·10H2O析出。加入无水Na2CO3:(1.06/106)mol=0.01mol,析出Na2CO3·10H2O的物质的量应为0.01 mol,质量为(286×0.01)g=2.86g,但析出的Na2CO3·10H2O使溶剂量减少,导致又析出Na2CO3·10H2O晶体,所以最终所得晶体的质量大于2.86g。本题应为D。
本题难度:一般
4、选择题 下列有关说法合理的是
A.根据分散系是否有丁达尔现象,将分散系分为胶体、浊液和溶液
B.用盐酸可以清洗长期存放过FeCl3溶液的试剂瓶
C.二氧化硅广泛用于制作计算机芯片和光导纤维
D.电解精炼铜时,阳极泥中含有Fe、Ag、Au等金属
参考答案:B
本题解析:A.根据分散系中分散质微粒半径大小,将分散系分为胶体、浊液和溶液,其中分散质微粒半径大于100nm的是浊液,小于1nm的是溶液,介于1nm与100nm之间的是胶体,A错误;B.氯化铁水解生成氢氧化铁,因此用盐酸可以清洗长期存放过FeCl3溶液的试剂瓶,B正确;C.二氧化硅广泛用于制作光导纤维,单质硅可用于计算机芯片,C错误;D.铁是活泼的金属,金属性强于铜,因此电解精炼铜时,阳极泥中含有Ag、Au等金属,没有铁,D错误,答案选B。
考点:考查分散系、氯化铁水解、二氧化硅及精炼铜
本题难度:一般
5、填空题 (8分)现有甲、乙、丙三名同学分别进行Fe(OH)3胶体的制备实验。
甲同学:向1 mol·L-1的FeCl3溶液中加少量NaOH溶液。
乙同学:直接加热饱和FeCl3溶液。
丙同学:向25 mL沸水中逐滴加入5~6滴FeCl3饱和溶液;继续煮沸至溶液呈红褐色,停止加热。
试回答下列问题:
⑴其中操作正确的同学是___ _____。
⑵证明有Fe(OH)3胶体生成利用的胶体性质是______ __。
⑶在胶体中加入电解质溶液或带有相反电荷的胶体微粒能使胶体微粒沉淀出来。丁同学利用所制得的Fe(OH)3胶体进行实验:
① 将其装入U形管内,用石墨作电极,通电一段时间后发现与电源负极相连的电极区附近的颜色逐渐变深,这表明Fe(OH)3胶体微粒带__________(填“正”或“负”)电荷。
② 若向其中加入饱和Na2SO4溶液,产生的现象是 。
③若向其中加入浓盐酸溶液,产生的现象是 。
(4)Fe(OH)3胶体制备的化学方程式为 。
参考答案:(1)丙 (2) 丁达尔效应
(3)①正 ②有红褐色沉淀生成 ③有红褐色沉淀生成继续加入沉淀会溶解(溶液变黄色)
(4) FeCl3+3H2O
Fe(OH)3(胶体) +3HCl
本题解析:(1)制备Fe(OH)3胶体的方法是向沸水中滴加FeCl3饱和溶液,继续煮沸至溶液呈红褐色,停止加热。
(2)胶体有一个特征,为丁达尔效应,故可以用来证明有Fe(OH)3胶体生成。
(3)①负极相连的电极区附近的颜色逐渐变深,说明Fe(OH)3胶体越来越多,这也说明Fe(OH)3胶体带正电荷,因为在通电的条件下,正电荷向阴极(即电源的负极)移动。
②因为饱和Na2SO4溶液是电解质溶液,加进Fe(OH)3胶体后,会使Fe(OH)3胶体发生聚沉,故有红褐色沉淀生成 。
③与加入饱和Na2SO4溶液是同个道理,生成的Fe(OH)3沉淀能溶于浓硫酸,故实验现象为有红褐色沉淀生成继续加入沉淀会溶解。
考点:Fe(OH)3胶体制备及性质。
点评:此题考查了胶体的代表Fe(OH)3胶体的制备胶体、丁达尔效应和胶体的凝聚。
本题难度:一般