时间:2020-08-13 06:09:28
1、简答题 化合物G是中药黄芩中的主要活性成分之一,具有氧化和抗肿瘤作用.G的合成路线如图所示:(已知D的结构简式为
回答下列问题:
(1)A分子的核磁共振氢谱有______个峰;G的分子式为______.
(2)反应③的反应类型是______反应(填“取代”、“加成”或“消去”);反应④的反应类型是______反应(填“氧化”或“还原”).
(3)同时符合下列三个条件的B的同分异构体有多种,请写出任意一种的结构简式______.
a.属于苯的衍生物,苯环上共有3个取代基;b.能发生银镜反应;c.与FeCl3溶液发生显色反应
(4)在反应①中,反应物的物质的量之比为l:1,反应的化学方程式为
若M呈酸性,则M的结构简式为______.
参考答案:(1)核磁共振氢谱中吸收峰等于有机物分子中H原子种数,物质A苯甲醛中含有4中H原子,故分子的核磁共振氢谱有4个峰;
根据G的结构可知,分子中有15个C原子、10个H原子、5个O原子数目,故G的分子式为C15H10O5,故答案为:4;C15H10O5;
(2)由C、D结构可知,C中的Cl原子被取代生成D,故反应③属于取代反应;
由E、F的结构可知,E分子去掉2个H原子生成F,去氢发生氧化反应,故反应④属于氧化反应,故答案为:取代;氧化;
(3)属于苯的衍生物,含有苯环,苯环上共有3个取代基,能发生银镜反应,说明含有醛基-CHO,与FeCl3溶液发生显色反应,分子中含有酚羟基,根据B的结构式可知故还含有-CH=CH2,故符合结构的B的同分异构体为:
等,故答案为:
;
(4)根据反应由原子守恒可知M含有2个C原子、4个H原子、2个O原子,M呈酸性含有-COOH,故M为CH3COOH,故答案为:CH3COOH.
本题解析:
本题难度:一般
2、填空题 (10分)按以下步骤可从
?合成
(部分试剂和反应条件已去).
请回答下列问题:
(1)B、F的结构简式为:B_________________,F________________。
(2)反应①~⑦中属于消去反应的是_______________(填代号)。
(3)根据反应
,写出在同样条件下
CH2=CH—CH=CH2与等物质的量
发生加成反应的化学方程式:
___________________________________________________________________。
(4)写出第④步
的化学方程式(有机物写结构简式,注明反应条件).
____________________________________________________________________
参考答案:(1)
?;?
(2)② ④;(3)
;
(4)
(其它正确写法也得分);
本题解析:填空题
本题难度:简单
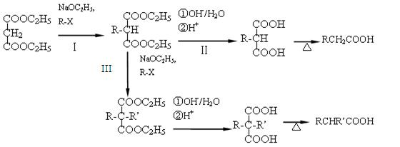
3、填空题 丙二酸二乙酯具有双重α-氢,呈现明显酸性,与卤代烃经下列步骤生成丙二酸类化合物,丙二酸类化合物不稳定,受热脱羧生成相应的一元羧酸:
(1)反应(Ⅰ)属__________反应。(填反应类型)
(2)现取CH3CH2Br,依上述条件及过程可合成相应的稳定的一元羧酸A和B,请写出其结构简式。
A:_________________________,? B:_______________________________
(3)如需合成稳定的一元羧酸
,所需溴代烃的结构简式为_______________,
写出合成时发生的第Ⅲ步反应的化学方程式 。
用此溴代烃还能合成稳定的只含有C、H、O三元素的二元羧酸C和D,其中C为链状、D为环状。其结构式分别为:
C:_________________________, D:______________________________。
参考答案:(1)取代
(2)
(3)


本题解析:略
本题难度:一般
4、填空题 2,6-二氯苯胺是重要的医药中间体,医药上纯度要求99.5%以上,因此不宜用苯胺直接氯化法来制备,以下是2,6-二氯苯胺的一种合成路线。

有多种含苯环且与其取代基相同的同分异构体,试写出其中任意三种同分异构体的结构简式___、______、_____。 参考答案:(1)取代反应
(2)
(3)
(任意三个即可)
(4)防止-NHCOCH3的对位氢原子被取代
本题解析:
本题难度:一般
5、选择题 HPE是合成除草剂的重要中间体,其结构简式如下图所示。下列有关HPE的说法正确的是
A.HPE不能跟浓溴水反应
B.1molHPE最多可以和2mol NaOH反应
C.HPE在核磁共振氢谱中有6个峰
D.HPE分子中有2个手性碳原子
参考答案:B
本题解析:
A.该有机物含有酚—OH,苯环邻位两个氢可与浓溴水发生取代反应
B.酚—OH及酯基可与NaOH溶液反应,即最多可以和2mol NaOH反应
C.分子除苯环上两种氢外,还有五种氢,所以HPE在核磁共振氢谱中有7个峰
D.手性碳原子要求该碳所连的四个基团均不相同,故HPE分子中仅有一个手性碳原子,如图:
故答案为B
本题难度:一般