时间:2020-08-13 05:31:33
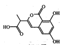
1、选择题 某小分子抗癌药物的分子结构如图所示,下列说法正确的是
A.1mol该有机物最多可以和5mol NaOH反应
B.该有机物容易发生加成、取代、中和、消去等反应
C.该有机物遇FeCl3溶液不变色,但可使酸性KMnO4溶液褪色
D.1mol该有机物与浓溴水反应,最多消耗3mol Br2
2、填空题 A和B两种物质的分子式都是C7H8O,它们都能跟金属钠反应放出氢气。A不溶于NaOH溶液,而B能溶于NaOH溶液,B能使适量溴水褪色,并产生白色沉淀,A不能。B的一溴代物有两种结构,写出A和B的结构简式________________和名称_________________。
3、选择题 根据乙烯和乙醇的结构特点和性质,推测丙烯醇(CH2=CH-CH2-OH)的性质可能有
[? ]
① 加成反应 ②与有机酸发生酯化反应 ③ 中和反应 ④ 氧化反应
A.只有①
B.只有①②④
C.只有①③④
D.全部
4、选择题 下列说法不正确的是
[? ]
A.烷烃随碳原子数递增密度逐渐增大
B.相同碳原子数的同类烃,支链越多熔沸点越低
C.相对分子质量相近的醇和烷烃相比,醇的沸点远高于烷烃
D.物质①丙三醇②丙烷③乙二醇④乙醇,沸点由高到低的排列顺序①③②④
5、选择题 分子中含有4个碳原子的饱和一元醇,氧化后能生成醛的有(?)
A.2种
B.3种
C.4种
D.5种