高考化学知识点整理《物质的组成》考点巩固(2019年最新版)(三)

时间:2020-08-13 05:07:31

微信搜索关注"91考试网"公众号,领30元,获取事业编教师公务员等考试资料40G

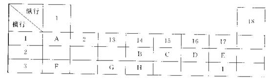
1、选择题  下列为元素周期表的一部分,表中阿拉伯数字(1、2……)是原周期表中行或列的序号。请参照元素A~I在表中的位置,回答下列问题。

(1)B、C两元素中非金属性较强的是?(写出元素名称),请设计一个简单的实验证明这一结论?
(2)表中某元素能形成两性氧化物,写出该氧化物溶于氢氧化钠溶液的离子反应方程式
?
(3)表中某元素的单质在常温下为气态,该元素能与A~I中的一种元素构成原子个数比为1:1和1:2的两种共价化合物X和Y,该元素还能与A~I中的另一种元素构成离子个数比为1:1和1:2的两种离子化合物Z和M。写出Z与Y反应的化学方程式:?



?
?(4)I元素在周期表里的位置在第?周期、第?族。?实验室中采用右图所示装置模拟工业上同时制取元素A和I
的单质过程:
①写出电极C1上发生反应的电极反应式?
②当电极上产生112mL(标准状况)元素I单质气体时(假设
气体完全逸出,溶液体积不变),烧杯中溶液的pH=?



2、选择题  下列粒子的结构示意图正确的是(? )



3、选择题  下列各组物质中,互为同位素的是
A.O2和O3
B.
C.H2O和H2O2
D.CO和CO2



4、选择题  下列各项操作,其中错误的是
A.用酒精萃取溴水中的溴单质的操作可选用分液漏斗,而后静置分液
B.进行分液时,分液漏斗中的下层液体从漏斗颈下口流出,上层液体则从分液漏斗的上口倒出
C.萃取、分液前需对分液漏斗检漏
D.为保证分液漏斗内的液体顺利流出,需将分液漏斗上口部的塞子打开



5、选择题  五种短周期金属元素在元素周期表中的相对位置如图所示,下列判断正确的是(? )

A.原子半径:Z<W<R
B.金属性:X>Z
C.氢氧化物的碱性:Z>W>R
D.最外层电子数:X>Y




首页 上页 2 3 4 下页 尾页 3/10/10
微信搜索关注"91考试网"公众号,领30元,获取公务员事业编教师考试资料40G
【省市县地区导航】【考试题库导航】
 ★ 高考省级导航 ★ 
全国 A安徽 B北京 C重庆 F福建 G广东 广西 甘肃 贵州 H河南 河北 湖南 湖北 黑龙江 海南 J江苏 江西 吉林 L辽宁 N内蒙古 宁夏 Q青海 S山东 山西 陕西 四川 上海 T天津 X新疆 西藏 Y云南 Z浙江
 ★ 高考信息汇总 ★ 
 ★ 高考历年真题 ★ 
 ★ 高考历年真题 ★ 
 ★ 高考题库 ★ 
 ★ 高考题库 ★ 

电脑版  |  手机版  |  返回顶部