时间:2020-07-28 05:20:14
1、推断题 (12分)化合物Ⅰ(C11H12O3)是制备液晶材料的中间体之一,其分子中含有醛基和酯基。Ⅰ可以用E和H在一定条件下合成,途径如下图所示:
已知以下信息:
①?A的核磁共振氢谱表明其只有一种化学环境的氢;
②
③化合物F苯环上的一氯代物只有两种;
④通常在同一个碳原子上连有两个羟基不稳定,易脱水形成羰基
。
回答下列问题:
(1)A的结构简式为?;
(2)指出下列反应类型A→B?,F→G?;
(3)D新制Cu(OH)2反应的化学方程式为?;
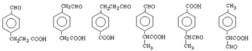
(4)I的同系物J比I相对分子质量小14,J的同分异构体中能同时满足如下条件,共有?种(不考虑立体异构)。写出任意两种的结构简式?、?。
①苯环上只有两个取代基,且苯环上的一氯取代物只有两种;
②既能发生银镜反应,又能和饱和NaHCO3溶液反应放出CO2;
参考答案:(共12分,每空2分)(1)(CH3)3CCl?(2)消去反应?取代反应
(3)(CH3)2CHCHO + 2Cu(OH)2 + NaOH
(CH3)2CHCOONa + Cu2O↓ + 3H2O
(4)6;
本题解析:根据A生成B的反应条件可知,该反应是卤代烃的消去反应。由于?A的核磁共振氢谱表明其只有一种化学环境的氢,所以符合条件的A的结构简式为(CH3)3CCl,A发生消去反应生成B,则B的结构简式为CH2=C(CH3)2。B发生信息②的反应,其产物C的结构简式为(CH3)2CHCH2OH,C发生催化氧化生成D,则D的结构简式为(CH3)2CHCHO。D中醛基被新制氢氧化铜悬浊液氧化后酸化生成E,则E的结构简式为(CH3)2CHCOOH。化合物F苯环上的一氯代物只有两种,说明分子中苯环上含有2个对位的取代基,根据分子式可知F的结构简式为
。F在光照条件下甲基上的氢原子被氯原子代替,根据生成物G的分子式可知有2个氢原子被取代,则G的结构简式为
。G发生水解反应引入2个羟基,由于在同一个碳原子上连有两个羟基不稳定,易脱水形成羰基,所以H的结构简式为
,H与E通过酯化反应生成I,则I的结构简式为
。
(1)根据以上分析可知的结构简式为(CH3)3CCl;
(2)反应A→B和F→G的反应类型分别为消去反应、取代反应;
(3)D新制Cu(OH)2反应的化学方程式为(CH3)2CHCHO + 2Cu(OH)2 + NaOH
(CH3)2CHCOONa + Cu2O↓ + 3H2O;
(4)I的同系物J比I相对分子质量小14,说明少1个CH2;J的同分异构体中能同时满足如下条件,①苯环上只有两个取代基,且苯环上的一氯取代物只有两种,这说明2个取代基是对位的;②既能发生银镜反应,又能和饱和NaHCO3溶液反应放出CO2,说明分子中含有醛基和羧基,则符合条件的有机物结构简式为
,共计是6种。
本题难度:一般
2、选择题 下列叙述不正确的是?
A.乙烯、苯分子中的所有原子都在同一平面上
B.正丁烷和异丁烷的熔、沸点不相同
C.C4H9Br的同分异构体有3种
D.苯分子中的碳碳键是介于单键和双键之间的独特的键
参考答案:C
本题解析:C4H9Br相当于丁烷中的1个氢原子被溴原子取代的生成物。不论是正丁烷,还是异丁烷,分子中的氢原子都分为2种,所以共有4种同分异构体,选项C不正确,其余都是正确的,答案选C。
本题难度:一般
3、选择题 下列各化合物中,能发生酯化、还原、加成、消去四种反应类型的是
参考答案:C
本题解析:A、CH3-CH=CH-CHO分子中含有碳碳双键和醛基官能团,不能发生酯化反应,消去反应,能发生加成反应,还原反应,故A错误;B、结构简式中含醇羟基,能发生酯化反应,消去反应,不能发生加成反应,故B错误;C、分子中含有醇羟基、碳碳双键、醛基,能发生酯化反应、还原反应、加成反应、消去反应,故C正确;D、分子中含醇羟基、羰基、醛基,不能发生消去反应,故D错误;故选C。
本题难度:一般
4、选择题 下列各组物质互为同分异构体的是
①甲醛和甲醇;②甲酸甲酯和乙酸;③苯酚和苯甲醇;④苯甲醇和苯甲醚;⑤乙醇和乙醚;⑥苯甲酸和苯甲醛?
A.②③⑤
B.②④
C.③④⑤
D.①③⑥
参考答案:B
本题解析:同分异构体指:分子式相同而结构不同的化合物互为同分异构体;所以根据各物质的分子式可知甲酸甲酯和乙酸、苯甲醇和苯甲醚互为同分异构体。所以正确选项为B。
本题难度:简单
5、选择题 在标准状况下,由甲烷、甲醛(HCHO)和乙烷组成的11.2升的混合气体完全燃烧后,生成0.7mol的二氧化碳气体。则混合气体中乙烷的体积分数为( )
A.20%
B.40%
C.60%
D.80%
参考答案:B
本题解析:由于甲烷和甲醛中都含有1个碳原子,所以乙烷和这两种气体的体积之比是
,所以混合气体中乙烷的体积分数为
,答案选B。
本题难度:一般