时间:2020-07-28 05:15:54
1、选择题 该有机物水解后的生成物能与金属钠、NaOH、NaHCO3反应,从理论上可以算出1 mol生成物分别与Na、NaOH、NaHCO3完全反应所消耗三种物质的物质的量之比为
[? ]
A.2:2:1
B.1:1:1
C.3:2:l
D.3:3:2
2、选择题 瘦肉精,是一种非常廉价的药品,对于减少脂肪增加瘦肉作用非常好。瘦肉精有很危险的副作用,轻则导致心律不整,严重一点就会导致心脏病。下列关于两种常见瘦肉精的说法不正确的是
[? ]
A.克伦特罗和莱克多巴胺均能发生加成、氧化、消去等反应
B.克伦特罗分子中所有的碳原子可以在同一平面内
C.克伦特罗和莱克多巴胺可以用FeCl3溶液鉴别
D.莱克多巴胺与足量Na2CO3溶液反应,生成物的化学式为C18H21NO3Na2
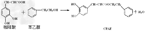
3、选择题 CPAE是蜂胶的主要活性成分,也可由咖啡酸合成
下列说法正确的是
[? ]
A.可用FeCl3溶液检测上述反应是否有CPAE生成 ?
B.通常条件下,咖啡酸和苯乙醇都能发生取代、加成、消去、氧化反应 ?
C.咖啡酸分子中所有原子可能处在同一个平面上 ?
D.1?mol咖啡酸分子最多消耗Na、NaOH、?Na2CO3的物质的量比为2︰2︰1
4、选择题 用30g乙酸与46g乙醇反应,如果实际产率是理论产率的67%,则可得到的乙酸乙酯的质量是
A.29.5g
B.44g
C.74.8g
D.88g
5、选择题 海南的毒豇豆、毒黄瓜等毒蔬菜中含有禁用农药水胺硫磷,水胺硫磷的结构简式如题11图所示:对该化合物的下列叙述正确的是
A.该化合物属于芳香烃
B.该化合物的分子式为C11H14O4NPS
C.该化合物能发生加聚反应、水解反应和酯化反应
D.该化合物中至少有7个碳原子在同一平面