时间:2020-07-28 05:15:54
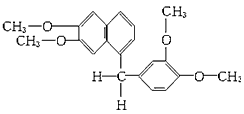
1、选择题 鸦片具有复杂的组成,其中的罂粟碱分子结构如下
鸦片最早用于药物(有止痛、止泻、止咳作用),长期服用会成瘾,使人体体质衰弱,精神颓废,寿命缩短,1 mol该化合物完全燃烧的耗氧量及在一定条件下与Br2发生苯环上取代反应生成的一溴代物同分异构体种数分别是
[? ]
A.26.5 mol,8
B.24.5 mol,10
C.24.5 mol,8
D.26.5 mol,6
参考答案:C
本题解析:
本题难度:一般
2、选择题 某牙膏中含有茶多酚,但茶多酚是目前尚不能人工合成的纯天然、多功能、高效能的抗氧化剂和自由基净化剂。其中没食子儿茶素(EGC)的结构如下图所示。关于EGC的下列叙述中不正确的是 
[? ]
A.遇FeCl3溶液发生显色反应
B.1molEGC与3molNaOH恰好完全反应
C.可发生氧化反应、取代反应和加成反应
D.分子中所有的原子共面
参考答案:D
本题解析:
本题难度:一般
3、选择题 某有机物的结构是:
关于它的性质的描述正确的是
[? ]
①能发生加成反应; ②能溶解于NaOH溶液中; ③能水解生成两种酸;
④不能使溴水褪色; ⑤能发生酯化反应; ⑥有酸性
A.①②③
B.②③⑤
C.仅⑥
D.全部正确
参考答案:D
本题解析:
本题难度:简单
4、选择题 绿茶中含有EGCG(表示没食子儿茶素没食子酸酯)物质具有抗癌作用,能使血癌(白血病)中癌细胞自杀性死亡,已知EGCG的一种衍生物A如图所示。有关衍生物A说法不正确的是
[? ]
A.A的分子式为C23H20O11
B.A在空气中易氧化,遇FeCl3溶液能发生显色反应
C.1molA最多可与含7mol氢氧化钠的溶液完全作用
D.1molA与足量的浓溴水反应最多可与6molBr2作用
参考答案:C
本题解析:
本题难度:一般
5、选择题 香豆素-4是一种激光染料,用于可调谐染料激光器,其结构简式如图所示,下列有关叙述正确的是
[? ]
A.分子式为C10H9O3
B.不能使酸性KMnO4溶液褪色
C.1mol香豆素-4最多能与含2molNaOH的溶液反应
D.能与溴水发生取代反应、加成反应
参考答案:D
本题解析:
本题难度:一般