时间:2020-07-28 03:54:07
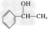
1、选择题 下列醇类物质中既能发生消去反应,又能发生氧化反应生成醛的是
[? ]
A.
B.
C.
D.
2、选择题 某饱和一元醇C8H17OH发生消去反应在碳链不发生改变的条件下能得到三种单烯烃,则该醇的结构简式是下面的( )
3、选择题 有A、B、C三种饱和醇的混合物,分为两等份:一份跟足量金属反应,共产生a mol H2;另一份完全燃烧后生成2a mol CO2。则该混合醇中不可能含有
A.甲醇? B.乙醇? C.乙二醇? D.丙三醇
4、选择题 洗涤做过银镜反应的试管可以选用的试剂是
A.氨水
B.碱溶液
C.稀硝酸
D.酒精
5、选择题 近几年一种新型的甜味剂--木糖醇悄悄地走入生活,进入人们的视野.木糖醇既甜味足,又能防龋齿,是一种理想的蔗糖代替品,尤其适合糖尿病患者.木糖醇是一种白色粉末状的结晶,分子式为C5H12O5,结构简式为:CH2OH(CHOH)3CH2OH,下列有关木糖醇的叙述中不正确的是( )
A.木糖醇是一种五元醇
B.木糖醇易溶于水
C.木糖醇跟葡萄糖、果糖一样,属于单糖
D.木糖醇理论上可以分子内脱水生成环醚