时间:2020-07-08 00:47:48
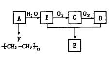
1、推断题 合成涤纶的流程图如下所示。
回答下列问题:
(1)A的名称为?;
(2) F的结构简式是?;
(3) C→D的反应类型是?;F→G的反应类型为?;
(4)E与H反应的化学方程式为?:
(5)E有多种同分异构体,符合下列条件的同分异构体有?种,其中在核磁共振氢谱中出现四组峰的是?(写出结构简式)。
①芳香族化合物;②红外光谱显示含有羧基;③能发生银镜反应;④能发生水解反应
(6) A也能一步转化生成E:
.试剂a可以用?溶液。
2、简答题 高分子材料M在光聚合物和金属涂料方面有重要用途,M的结构简式为:
已知:A完全燃烧只生成CO2和H2O,其蒸气密度是相同状况下氢气密度的43倍,分子中H、0原子个数比为3:1.它与Na或Na2CO3都能反应产生无色气体.
(1)A中含有的官能团的名称是______.
(2)下列说法正确的是______(填序号字母).
a.工业上,B主要通过石油分馏获得
b.C的同分异构体有2种(不包括C)
c.D在水中的溶解性很大,遇新制Cu(OH)2悬浊液,溶液呈绛蓝色
d.E-M的反应是缩聚反应
(3)写出A+D+H3PO4--E反应的化学方程式:______,该反应类型是______.
(4)F是A的一种同分异构体,F的核磁共振氢谱显示分子中有两种不同的氢原子.存在下列转化关系:
写出F、N的结构简式为:F:______N:______写出反应①的化学方程式______.
3、选择题 下列叙述不正确的是
A.合成材料一般可分为塑料、合成纤维、合成橡胶以及黏合剂、涂料等种类
B.塑料均可以反复加工、多次使用
C.化学纤维可分为人造纤维和合成纤维,合成纤维往往具有强度高、弹性好、耐磨、耐化学腐蚀等优点
D.合成橡胶在性能上不如天然橡胶全面,但因其高弹性、绝缘性、气密性、耐油耐低温或高温等优点,已被广泛应用于许多领域
4、填空题 安妥明是一种调节血脂及抗动脉硬化药,它可用如图所示的方法合成。其中物质B不能发生银镜反应,物质C是一种常用的有机溶剂,部分反应的反应条件、反应物或产物未列出。
已知:
请回答下列问题
(1)写出物质C的结构简式:____________。
(2)物质B的俗名是__________,反应④的反应类型为_____________。
(3)写出反应⑤的化学方程式:______________________。
(4)请设计合理方案,以物质A为原料合成塑料
提示:
①合成过程中无机试剂任选;
②合成反应流程示意图表示方法如下:C2H5OH
CH2=CH2
CH2Br-CH2Br
_____________________________
5、填空题 A是一种重要的化工原料,A的产量可以用来衡量一个国家的石油化工水平;B、D是饮食中常见的两种有机物。E具有果香气味。A、B、C、D、E、F在一定条件下存在如下转化关系(部分反应条件、产物被省略)。
(1)A→B的反应类型是?;F的名称是?。
(2)写出下列变化的化学方程式:
①B→C?
②B+D→E?