时间:2020-07-08 00:36:07
1、选择题 在核磁共振氢谱图(1H核磁共振谱图)中,只有一个吸收峰的物质是
A.CH3CH2OH
B.CH2 =" CH" - CH3
C.CH3CH2CH3
D.CH3CH3
参考答案:D
本题解析:CH3CH2OH?三个峰分别为3:2:1,CH2 =" CH" - CH3有三个峰分别为3:2:1, CH3CH2CH3?有2个峰为6:2,CH3CH3一个峰
本题难度:一般
2、选择题 下列物质分别与NaOH的醇溶液共热后,既能发生水解反应又能发生消去反应,且生成的有机物不存在同分异构体的是( )
参考答案:B
本题解析:有机化合物在一定条件下,从一个分子中脱去一个或几个小分子(如水、卤化氢等分子),而生成不饱和(碳碳双键或三键)化合物的反应,叫做消去反应,卤代烃分子中,连有卤素原子的碳原子必须有相邻的碳原子且此相邻的碳原子上,并且还必须连有氢原子时,才可发生消去反应,据此可知选项B符合题意。A 、C不能发生消去反应,D中发生消去反应后生成两种不同的烯烃,答案选B。
点评:该题是中等难度的试题,试题注重基础,侧重对学生能力的培养和解题方法的指导与训练。该题的关键是记住卤代烃发生消去反应的原理和条件,然后结合题意灵活运用即可。有利于培养学生的逻辑推理能力和逆向思维能力。
本题难度:简单
3、填空题 中学化学常见有机物A(C6H6O)能合成紫外线吸收剂BAD和某药物中间体F,合成路线为:
已知:BAD的结构简式为:
F的结构简式为:
C中含氧官能团的名称?,W的结构简式?。
(2)反应类型 A→B ?。
(3)1mol C充分反应可以消耗?mol Br2 ;C和过量 NaOH溶液反应的化学方程式?。
(4)C→D的过程中可能有另一种产物D1,D1的结构简式?。
(5)E的结构简式为?。反应类型 E→F?。
(6)W的同分异构体有多种,写出一种符合以下要求的W的同分异构体的结构简式:
① 遇FeCl3溶液呈紫色; ② 能发生银镜反应;③ 苯环上的一氯代物只有两种。?。
参考答案:(1)羧基 、 羟基 (2分)
?(2分);
(2)加成反应(1分)
(3)3 mol(1分)?
+2NaOH? →2 H2O+
(3分,未配平扣1分)
(4)
?(2分)
(5)
?(2分); 取代反应(或酯化反应)(1分)
(6)
?
?(2分,写出其中一种即可)
本题解析:(1)根据C的结构简式判断C中含氧官能团的名称是羧基 、羟基;W是H被银氨溶液氧化然后又酸化的产物,所以W是
(2)A是苯酚,比较AB的分子式,B比A多了CH2O,所以A到B发生了加成反应;
(3)酚羟基的2个邻位可以与溴发生取代反应,1个碳碳双键可以与溴发生加成反应,所以1mol C充分反应可以消耗3mol Br2;C中的酚羟基和羧基都可以和氢氧化钠反应,所以C和过量 NaOH反应的化学方程式为
+2NaOH? →2 H2O+
(4)由F的结构简式判断D中Cl加在了与-COOH相连的C原子上,所以另一种结构D1为Cl加在了与苯环相连的C原子上,其结构简式为
(5)E为D水解、酸化后的产物,结构简式为
E到F发生分子间的酯化反应或取代反应;
(6)遇FeCl3溶液呈紫色,说明分子中存在酚羟基;能发生银镜反应,说明分子中存在醛基;分子式中有3个O原子,所以苯环上有2个酚羟基,1个醛基;苯环上的一氯代物只有两种,说明分子中存在对称结构,2个酚羟基处于间位,则醛基在2个酚羟基的中间即可。符合条件的W的同分异构体的结构简式为 

本题难度:困难
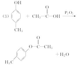
4、填空题 化合物F是合成某种抗癌药物的中间体,其合成路线如下:


(1)化合物F中的含氧官能团有羰基、________和________(填官能团名称)。
(2)由化合物D生成化合物E的反应类型是_____________________________。
(3)由化合物A生成化合物B的化学方程式是_________________________________________________________。
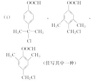
(4)写出同时满足下列条件的D的一种同分异构体的结构简式:____________________________。
①分子中有4种不同化学环境的氢原子;②能发生银镜反应,且其一种水解产物也能发生银镜反应;③分子中苯环与氯原子不直接相连。
(5)苯乙酸乙酯(
)是一种重要的化工原料。请写出以苯、甲醛和乙醇为主要原料制备苯乙酸乙酯的合成路线流程图(无机试剂任用)。合成路线流程图示例如下:
H2C===CH2
CH3CH2Br
CH3CH2OH
参考答案:(1)(酚)羟基 羧基 (2)取代反应


本题解析:(1)化合物F中的含氧官能团有羧基、(酚)羟基、(酮)羰基。(2)化合物D生成化合物E的反应为氯原子被氰基取代。(3)化合物A生成化合物B的反应方程式为



本题难度:困难
5、填空题 邻羟基桂皮酸是合成香精的重要原料,下为合成邻羟基桂皮酸的路线之一
试回答下列问题:
(1)化合物I与CH3CHO所发生的有机反应类型是?
(2)化合物III在银氨溶液中发生反应化学方程式?
(3)下列说法正确的是(双选)??
A.化合物I遇氯化铁溶液呈紫色
B.化合物II能与NaHCO3溶液反应
C.1mol化合物IV完全燃烧消耗9.5molO2
D.1mol化合物III能与3 mol H2反应
(4)有机物X为化合物IV的同分异构体,且知有机物X有如下特点:
①是苯的对位取代物,②能与NaHCO3反应放出气体,③能发生银镜反应。
请写出化合物X的结构简式?(写出两种)
(5)有机物R(如图)经过反应也可制得化合物IV,则R在NaOH醇溶液中反应的化学方程式为?。
参考答案:(1)加成反应
(2)
(3)AC?
(4)

(5)
本题解析:(1)化合物I与CH3CHO发生的反应可以从生成物结构可知,化合物I的醛基和CH3CHO的甲基相连,醛基C=O键断开形成单键醇羟基,而且原子利用率百分百,所以可以看出是一个加成反应。
(2)化合物III和银氨溶液反应实际就是醛基被氧化,反应式为:
(3)化合物I含有酚羟基,所以遇氯化铁溶液显色反应呈紫色,A正确;有机物能与能与NaHCO3溶液反应的属于羧酸类,所以B错误;1mol化合物CxHyOz燃烧耗氧量等于x+y/4-z/2,所以化合物IV的分子式为C9H8O3,所以耗氧量等于9.5mol,所以C正确;化合物III中含有苯环、一个C=C、一个醛基,所以1mol化合物III能与5mol H2 ,D错误。
(4)能与NaHCO3反应放出气体、能发生银镜反应的对位取代物必须满足含有羧基和醛基结构,所以根据化合物IV的结构可推,符合条件的同分异构体有:
?
(5)有机物R含有卤素原子的有机化合物,根据NaOH醇溶液条件可断定是卤素原子发生消去反应生成不饱和键,但由于元物质中含有的羧基、酚羟基都具有酸性,在碱性条件下绒衣和碱反应,所以反应方程式为:
本题难度:困难