时间:2020-07-07 23:41:22
1、简答题 纯碱(Na2CO3)在生产生活中具有广泛的用途.图1是实验室模拟制碱原理制取Na2CO3的流程图.
已知:向饱和食盐水中通入NH3、CO2后发生和反应为NaCl+NH3+CO2+H2O→NaHCO3↓+NH4Cl,请回答以下问题:
(1)粗盐中含有的杂质离子有Ca2+,Mg2+,SO42-等.
精制除杂的步骤顺序a→______→______→______→b(填字母编号).
a.粗盐溶解,滤去沉渣.b.加入盐酸调pH;c.加入Ba(OH)2溶液;d.加入Na2CO3溶液;e.过滤
向饱和食盐水中先通入NH3,后通入CO2,理由是______.
(2)灼烧固体A制Na2CO3在______(填字母序号)中进行.
a.坩埚b.蒸发皿c.烧杯d.锥形瓶
证明滤液A中含有NH4+的方法是______.
对滤液A进行重结晶能够获得NH4HCO3,向pH=13含Na+、K+的溶液中加入少量NH4HCO3.使pH降低,反应的离子方程式______.
(3)图2装置中常用于实验室制备CO2的是______(填字母编号);用b示意的装置制备NH3,分液漏斗中盛放的试剂______(填试剂名称),烧瓶内可加入的固体试剂______(填试剂名称).
(4)一种天然碱晶体成分是aNa2CO3?bNa2CO3?cH2O,某同学利用下列提供的试剂,设计了如下简单合理测定Na2CO3的质量分数的实骏方案.(仪器自选)请把实验方案填全:供选择的试剂:1mol?L-1H2SO4溶液、1.0mol?L-1BaCl2溶液、稀氨水、碱石灰、Ca(OH)2溶液、蒸馏水.
①称取m1g一定量天然碱晶体样品,溶于适量蒸馏水中.
②______.
③______.
④计算天然碱晶体中含Na2CO3的质量分数.
参考答案:(1)SO42-、Ca2+、Mg2+等分别与Ba(OH)2溶液、Na2CO3溶液、Ba(OH)2溶液反应生成沉淀,可再通过过滤除去,Na2CO3溶液能除去过量的Ba(OH)2溶液,盐酸能除去过量的Na2CO3溶液和NaOH溶液,所以应先加Ba(OH)2溶液再加Na2CO3溶液,过滤,最后加入盐酸,NH3易溶于水,有利于吸收溶解度不大的CO2,所以向饱和食盐水中先通入NH3,后通人CO2,
故答案为:c;d;e;NH3易溶于水,有利于吸收溶解度不大的CO2;
(2)灼烧固体碳酸氢钠制Na2CO3,在坩埚加热分解,
取少量滤液A于试管中,加入足量NaOH溶液并加热,产生能使湿润的红色石蕊试纸变蓝色的气体,证明A中含有
NH4+,NH4+和HCO3-都能与氢氧化钠反应:NH4++HCO3-+2OH-=NH3?H2O+CO32-+H2O,
故答案为:a;取少量滤液A于试管中,加入足量NaOH溶液并加热,产生能使湿润的红色石蕊试纸变蓝色的气体,证明A中含有NH4+;NH4++HCO3-+2OH-=NH3?H2O+CO32-+H2O;
(3)实验室制取二氧化碳常选用石灰石和稀盐酸或大理石和稀盐酸反应制取,采用固体+液体不加热
本题解析:
本题难度:一般
2、选择题 与氨碱法比较,下列关于联合制碱法优点的判断中不正确的是
[? ]
参考答案:D
本题解析:
本题难度:简单
3、填空题 【三选一----化学与技术】?
纯碱是一种重要的化工原料,目前制碱工业主要有“氨碱法”和“联合制碱法”两种工艺。请按要求回答问题:
(1)“氨碱法”产生大量CaCl2废弃物,请写出该工艺中产生CaCl2的化学方程式:___________;
(2)写出“联合制碱法”有关反应的化学方程式:___________?、____________?;
(3)CO2是制碱工业的重要原料,“联合制碱法”与“氨碱法”中CO2的来源有何不同??_____________;
(4)“联合制碱法”是对“氨碱法”的改进,其相对优点有___________?(填序号)
A.提高了原料的原子利用率?B.降低了生产成本 C.减少了环境污染?
D.减轻了对设备的腐蚀
(5)绿色化学的主要原则之一是提高反应的原子利用率。根据“联合制碱法”总反应,列出计算原子利用率的表达式:原子利用率(%)=?____________?。
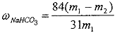
(6)产品纯碱中常含有碳酸氢钠,如果用加热分解的方法测定纯碱中碳酸氢钠的质量分数,已知所取产品的质量为m1g,加热后所剩固体的质量为m2g,则纯碱中碳酸氢钠的质量分数可表示为?_____________。
参考答案:(1)2NH4Cl+Ca(OH)2
2NH3↑+CaCl2+2H2O?
(2)NH3+CO2+H2O+NaCl(饱和)===NaHCO3↓+NH4Cl?;2NaHCO3
Na2CO3+CO2↑+H2O?
(3)“氨碱法”的CO2来源于石灰石煅烧,“联合制碱法”的CO2来源于合成氨工业的废气。
(4)ABC
(5)“联合制碱法”原子利用率的表达式:
(6)w(NaHCO3)=
本题解析:
本题难度:一般
4、填空题 工业生产纯碱的工艺流程示意图如下
完成下列填空:
(1)粗盐水加入沉淀剂A、B除杂质(沉淀剂A来源于石灰窑厂),写出A、B的化学式。
A_________B_________
(2)实验室提纯粗盐的实验操作依次为:取样、_________、沉淀、_________、_________、冷却结晶、_________、烘干。
(3)工业生产纯碱工艺流程中,碳酸化时产生的现象是__________________。碳酸化时没有析出碳酸钠晶体,其原因是__________________。
(4)碳酸化后过滤,滤液D最主要的成分是_________(填写化学式),检验这一成分的阴离子的具体方法是:__________________。
(5)氨碱法流程中氨是循环使用的,为此,滤液D加入石灰水产生氨。加石灰水后所发生的反应的离子方程式为:__________________滤液D加石灰水前先要加热,原因是__________________。
(6)产品纯碱中含有碳酸氢钠。如果用加热分解的方法测定纯碱中碳酸氢钠的质量分数,纯碱中碳酸氢钠的质量分数可表示为:__________________(注明你的表达式中所用的有关符号的含义)
参考答案:(1)Ca(OH)2或CaO;Na2CO3
(2)溶解;过滤;蒸发;过滤
(3)有晶体析出(或出现浑浊);碳酸钠溶解度比碳酸氢钠大
(4)NH4Cl;取样,加硝酸酸化,加硝酸银,有白色沉淀,该阴离子是氯离子
(5)NH4++OH-==NH3↑+H2O;防止加石灰水时产生碳酸钙沉淀
(6)
(m1:加热前纯碱的质量;m2:加热后纯碱的质量)
本题解析:
本题难度:困难
5、填空题 我国化学家侯德榜改革国外的纯碱生产工艺,生产流程可简要表示如下
(1)?上述生产纯碱的方法称___________,副产品的一种用途为___________。
(2)?沉淀池中发生的化学反应方程式是______________________。
(3)?写出上述流程中X物质的分子式___________。 ?
(4)?使原料氯化钠的利用率从70%提高到90%以上,主要是设计了?___________(填上述流程中的编号)的循环。从沉淀池中取出沉淀的操作是______________________。
(5)为检验产品碳酸钠中是否含有氯化钠,可取少量试样溶于水后,再滴加___________。
(6)?向母液中通氨气,加入细小食盐颗粒,冷却析出副产品,通氨气的作用有_________。
(a)?增大NH4+的浓度,使NH4Cl更多地析出 ?
(b)?使NaHCO3更多地析出
(c)?使NaHCO3转化为Na2CO3,提高析出的NH4Cl纯度
参考答案:(1)联合制碱法或侯德榜制碱法;化肥或电解液或焊药等(其他合理答案均可)
(2)NH3+?CO2?+?H2O?+?NaCl?→?NH4Cl?+?NaHCO3↓ 或?NH3?+?CO2?+?H2O?→?NH4HCO3?、
NH4HCO3?+?NaCl?→?NaHCO3↓?+?NH4Cl
(3)CO2
(4)I;过滤
(5)稀硝酸和硝酸银溶液?
(6)?ac
本题解析:
本题难度:一般