时间:2020-07-07 23:30:57
1、选择题 下列变化,是通过取代反应来实现的是
A.CH3CH2OH ─→CH3CHO
B.CH2=CH2─→ CH3-CH2Br
C.乙酸─→
参考答案:C
本题解析:略
本题难度:一般
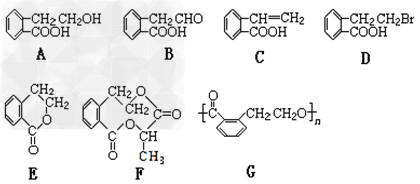
2、填空题 有机物甲可通过不同的化学反应分别制得结构简式为A~G的物质请回答下列问题: 
(1)指出反应的类型:A→C:________A→D:_________;
(2)A-G中可看作酯类的是__________。(填代号,下同)?
(3)已知HCHO分子中所有原子都在同一平面内,则在上述分子中所有原子有可能都在同一平面内的物质是____________?。
参考答案:(1)消去?;取代(卤代)?
(2)E、F、G?
(3)C
本题解析:
本题难度:简单
3、选择题 被称为“魔棒”的荧光棒已成为节日之夜青少年的喜爱之物,其发光原理是利用H2O2氧化草酸二酯产生能量,该能量被传递给荧光物质后便发出荧光。下列有关说法不正确的是
草酸二酯(CPPO)结构简式为:
[? ]
A.草酸二酯属于卤代烃或酯类
B.草酸二酯的分子式为:C26H24O8Cl6
C.如果在发光中途,把它放入冰箱的冷冻室中,发光便会停止或基本停止
D.1molCPPO与氢氧化钠稀溶液反应(苯环上卤素不水解),最多消耗6molNaOH
参考答案:A
本题解析:
本题难度:一般
4、选择题 某酯分子式为C6H12O2,该酯水解生成A和B,B是A的同分异构体的氧化产物,该酯为( )
A.CH3CH(CH3)COOC2H5
B.CH3CH2COO(CH2)2CH3
C.CH3COO(CH2)3CH3
D.CH3CH2COOCH(CH3)2
参考答案:酯分子式为C6H12O2,该酯水解生成A和B,B是A的同分异构体的氧化产物,则A和B分子中碳原子数相同,B为丙酸,丙酸对应的醇为正丙醇,则A只能为异丙醇,该酯的结构简式为:CH3CH2COOCH(CH3)2,
故选D.
本题解析:
本题难度:简单
5、选择题 天然维生素P(结构如图)存在于槐树花蕾中,它是一种营养增补剂。关于维生素P的叙述,错误的是 
[? ]
A.1mol天然维生素P在一定条件下最多与7molH2加成
B.1mol天然维生素P和溴水反应,可消耗6molBr2
C.可用有机溶剂萃取
D.1mol维生素P可以和4mol NaOH反应
参考答案:A
本题解析:
本题难度:简单