-->

1、选择题  设NA代表阿伏加德罗常数,下列说法不正确的是(?)。
A.14 g氮气所含原子数为NA
B.1 mol 水中所含电子数为10NA
C.32 g O2与32 g O3 ">

高中化学必备知识点《物质的量》高频试题预测(2019年最新版)

时间:2019-07-04 00:23:17

微信搜索关注"91考试网"公众号,领30元,获取事业编教师公务员等考试资料40G

1、选择题  设NA代表阿伏加德罗常数,下列说法不正确的是(?)。
A.14 g氮气所含原子数为NA
B.1 mol 水中所含电子数为10NA
C.32 g O2与32 g O3所含原子数分别为2NA和3NA
D.0.5 molNa2CO3与1.5 molH2O所含氧原子数目均为1.5NA



2、选择题  V L硫酸铝溶液中含有Al3+mg,则溶液中SO42-的物质的量浓度为[      ]  
A.600)makesmallpic(this,600,1800);\' src=\"http://www_php168_com/91files/2016060705/hszynftlpwb.png\" style=\"vertical-align:middle;\">mol/L
B.600)makesmallpic(this,600,1800);\' src=\"http://www_php168_com/91files/2016060705/fkkslzniegx.png\" style=\"vertical-align:middle;\">mol/L
C.600)makesmallpic(this,600,1800);\' src=\"http://www_php168_com/91files/2016060705/nef0he51qpp.png\" style=\"vertical-align:middle;\">mol/L
D.600)makesmallpic(this,600,1800);\' src=\"http://www_php168_com/91files/2016060705/4nvwhppzikj.png\" style=\"vertical-align:middle;\">mol/L



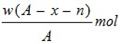
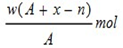
3、选择题  某元素原子的质量数为A,它的阴离子X n-核外有x个电子,w克这种元素的原子核内中子的物质的量为(   )
A.600)makesmallpic(this,600,1800);\' src=\"http://www_php168_com/91files/2016060705/miqxfr4jfpy.png\" style=\"vertical-align:middle;\">
B.600)makesmallpic(this,600,1800);\' src=\"http://www_php168_com/91files/2016060705/x3keoho2fgm.png\" style=\"vertical-align:middle;\">
C.600)makesmallpic(this,600,1800);\' src=\"http://www_php168_com/91files/2016060705/qanhizj1syv.png\" style=\"vertical-align:middle;\">
D.600)makesmallpic(this,600,1800);\' src=\"http://www_php168_com/91files/2016060705/feap1xwpqya.png\" style=\"vertical-align:middle;\">



4、选择题  偏二甲肼(C2H8N2)是一种高能燃料,燃烧产生巨大能量,可作为航天运载火箭的推动力。下列叙述中正确的是
A.偏二甲肼的摩尔质量为60 g·mol-1
B.6.02×1023个偏二甲肼分子的质量为60
C.1 mol偏二甲肼的质量为60 g·mol-1
D.6 g偏二甲肼含有NA个偏二甲肼分子



5、选择题  下列说法中不正确的是                                              
A.物质的量是一个物理量,物质的量的单位是摩尔
B.2 mol水的摩尔质量是1 mol水的摩尔质量的2倍
C.摩尔质量、气体摩尔体积、物质的量的浓度的单位分别是g/mol、L/mol、mol / L
D.标准状况下,2L二氧化碳和3L一氧化碳所含有的原子数目相等.




微信搜索关注"91考试网"公众号,领30元,获取公务员事业编教师考试资料40G
【省市县地区导航】【考试题库导航】
 ★ 高考省级导航 ★ 
全国 A安徽 B北京 C重庆 F福建 G广东 广西 甘肃 贵州 H河南 河北 湖南 湖北 黑龙江 海南 J江苏 江西 吉林 L辽宁 N内蒙古 宁夏 Q青海 S山东 山西 陕西 四川 上海 T天津 X新疆 西藏 Y云南 Z浙江
 ★ 高考信息汇总 ★ 
 ★ 高考历年真题 ★ 
 ★ 高考历年真题 ★ 
 ★ 高考题库 ★ 
 ★ 高考题库 ★ 

电脑版  |  手机版  |  返回顶部