时间:2019-06-28 21:10:47
1、选择题 苯酚有毒且有腐蚀性,使用时若不慎溅到皮肤上,可用来洗涤的最佳试剂是
A.65℃以上的水
B.NaOH溶液
C.酒精
D.冷水
参考答案:C
本题解析:A、不能用65℃以上的水,温度过高,容易烫伤皮肤,故A错误;B、在皮肤上不能用NaOH溶液,有腐蚀性,故B不正确;C、酒精对人的皮肤没有伤害,苯酚易溶于乙醇,可以用来洗涤皮肤的上的苯酚,故C正确;D、冷水效果不好,因为苯酚的溶解度小,故D错误;故选C。
本题难度:简单
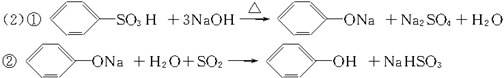
2、填空题 下面是合成
的流程图示:
(另有Na2SO4和水生成)

(1)写出五种物质中有机物的结构简式:
A__________;B__________;C__________;D__________;E__________。
(2)写出生成B和C的反应方程式__________________________________________________。
参考答案:(1)
?

本题解析:本题可用逆向推断法,由
,知E为
,由D
E(
)推知D为
,推知C为
,由
。联系A
B,推知B为
,由A
B及另外产物Na2SO4、H2O。推知A为
。
本题难度:简单
3、填空题
(1)戊烷的同分异构体有下列三种:
①CH3CH2CH2CH2CH3?
? 
其一氯代物只有一种的是____(填序号),②的名称(系统命名)为____。
(2)实验室常用___(填试剂)来检验苯酚的存在。
参考答案:(1)③; 2-甲基丁烷
(2)浓溴水(或饱和溴水或FeCl3溶液)
本题解析:
本题难度:一般
4、选择题 下列物质哪些与苯酚互为同系物
A.
B.
C.
D.
参考答案:B
本题解析:同系物必须是结构相似,分子组成相差若干个CH2原子团的同一类物质,A属于纯,C含有个酚羟基,D中含有碳碳双键,所以只有B是正确的。答案选B。
本题难度:一般
5、选择题 能说明羟基对苯环有影响,使苯环变得活泼的事实是(?)
A.苯酚能和溴水迅速反应
B.液态苯酚能与钠反应放出氢气
C.室温时苯酚不易溶解于水
D.苯酚具有极弱酸性
参考答案:A
本题解析:苯只能和液溴在催化剂的作用下发生取代反应,而且只能取代一个氢原子。但受羟基的影响,苯酚可以和浓溴水在没有催化剂的作用下直接发生取代反应,而且是取代3个氢原子,这说明受羟基的影响,苯环变得活泼。BD均是酚羟基的性质,C是物理性质,所以正确的答案是A。
本题难度:一般