时间:2019-06-28 20:06:48
1、选择题 下列化合物的性质属于羟基对苯环影响的是( )
A.苯酚溶液显弱酸性
B.苯酚比苯容易发生溴代反应
C.苯酚能与NaOH溶液反应,而苯甲醇不能与NaOH溶液反应
D.苯酚和乙醇在60℃的水浴中,分别加入金属钠,苯酚中明显反应剧烈
参考答案:B
本题解析:
本题难度:一般
2、填空题 (15分)据中国纺织流通协会数据统计,2006年8月份全国生产维纶纤维3424吨,与去年同比增长10.59%。维纶的成分是聚乙烯醇缩甲醛,它可以由石油的产品乙烯为起始原料进行合成,其主要步骤是由乙烯、氧气和醋酸合成酯酸乙烯酯,化学方程式如下:
CH2==CH2 + O2 + CH3COOH CH3COOCH==CH2+ H2O
然后再经过加聚、水解、缩合制得维纶。
(1) A→B的反应类型为________________。
(2)请确定A、B、D的结构简式:
A:________________B:________________ D:_______________。
(3)写出C的单体的的同分异构体的结构简式:________________。
参考答案:(每空3分) (1)加聚反应
(2)A:CH3COOCH==CH2? B:
? D:
?
(3)CH3CHO
本题解析:(难)在推断未知物时,要根据这些反应的特点,反应物与生成物分子式的差别去分析产物的结构。本题宜用顺推的解题思维,从题目所给信息开始推断。
第一步:从题目信息知,A为CH3COOCH==CH2。
第二步:A和B的链节组成相同,说明B是由A这一种分子加聚而成,反应的特点是C=C键断裂,单体相互结合成高分子长链:nCH3COOCH==CH2→
。
第三步:从B的结构特点看,高聚物水解时从虚线处断裂:
,生成聚乙烯醇
和乙酸。聚乙烯醇的单体为CH2==CHOH,与CH3CHO互为同分异构体。
第四步:以(C2H4O)n与(C5H8O2)n比较,链节的组成多了三个碳原子、四个氢原子,一个氧原子。必须用C的两链节与一个HCHO分子缩水来完成,缩水方式为:
。技能空间:本题综合了几种有机化学反应:加聚、缩聚、水解等。反应的发生决定于官能团的性质,能发生加聚反应的物质具有的官能团:C=C、C≡C、-CHO等。能发生缩聚反应的物质具有的官能团:-OH、-COOH、—NH2等。能发生水解反应的物质具有的官能团:—C(O)—O—C—、—C(O)—NH—等。
应试策略: 有机信息题的命题知识大都与日常生活、工农业生产、能源、交通、医疗、环保、科研等密切相联,这就增加了这部分考题的广度和难度,学生要熟练掌握,必须花一定的时间和讲究复习的技巧,方能事半功倍,达到复习的最佳效果。精选综合信息题,着重培养阅读、提炼信息和按照所给信息“依样画葫芦”、“照猫画虎”的能力,这是解题的第一步,在此基础之上,还要有创新能力,达到知识的升华。精选历年高考有机大题进行训练是很好的策略。
本题难度:一般
3、填空题 (11分)肉桂酸甲酯是一种常用的调制具有水果香味的食用香精。下图是由A合成聚肉桂酸甲酯等有机物的合成信息:
已知:

②F为由两分子D间反应形成含有三个六元环的酯;

请回答下列问题:
(1)D→G的反应类型是________________;G→H的反应类型是________________;
(2)D转化为E的化学方程式是______________________________________________;
(3)下列物质的结构简式:A_______________________________;F________________;
(4)符合以下条件的D的同分异构体有_____种,写出其中一种的结构简式________________。
①苯环上有2种氢,3个取代基; ②能发生银镜反应; ③遇FeCl3溶液显色。
(5)请用合成路线流程图表示
→G的合成线路,并注明反应条件。
提示:①氧化羟基的条件足以氧化有机分子中的碳碳双键;
②合成过程中无机试剂任选;
③合成路线流程图示例如下:
参考答案:(1)消去反应 酯化反应(或取代反应)
(2)
(3)

(4)4种

(5)
本题解析:(注:原题下载后无题文部分)
从A-H结构简式如下:
A、
B、
C、
D、
E
、F、
G、
H、
(1)消去反应 酯化反应(或取代反应)
(2)
(3)

(4)4种

(5)
(其他合理流程也得分)
本题难度:一般
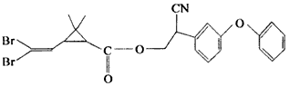
4、选择题 拟除虫菊酯是一类高效、低毒、对昆虫具有强烈触杀作用的杀虫剂,其中对光稳定的溴氰菊酯的结构简式如图,下列对该化合物叙述正确的是 
[? ]
A.属于芳香烃
B.属于卤代烃
C.此物质不能发生水解
D.在一定条件下可以发生加成反应
参考答案:D
本题解析:
本题难度:一般
5、选择题 已知
一紫罗兰酮的结构简式是
,关于该有机物的说法正确的是
A.其分子式为C13H18O
B.能使溴的四氯化碳溶液、酸性高锰酸钾溶液退色
C.属于芳香族化合物
D.能发生加成反应、取代反应、水解反应
参考答案:B
本题解析:A、根据
一紫罗兰酮的结构简式可知其分子式为:C13H20O,错误;B、
一紫罗兰酮含碳碳双键,所以能使溴的四氯化碳溶液、酸性高锰酸钾溶液退色,正确;C、
一紫罗兰酮不含苯环,不属于芳香族化合物,错误;D、
一紫罗兰酮含有的官能团为碳碳双键、羰基,能发生加成反应和取代反应。但不能发生水解反应,错误。
本题难度:一般