时间:2019-06-25 23:16:09
1、填空题  镁是海水中含量较多的金属,镁、镁合金及其镁的化合物在科学研究和工业生产中用途非常广泛。
(1)Mg2Ni是一种储氢合金,已知:
Mg(s) + H2(g)=MgH2(s) △H1=-74.5kJ·mol-1
Mg2Ni(s) + 2H2(g)=Mg2NiH4(s) △H2=-64.4kJ·mol-1
Mg2Ni(s)+2MgH2(s) = 2Mg(s)+Mg2NiH4(s)  △H3
则△H3 =               kJ·mol-1。
(2)工业上可用电解熔融的无水氯化镁获得镁。其中氯化镁脱水是关键工艺之一,一种正在试验的氯化镁晶体脱水的方法是:先将MgCl2·6H2O转化为MgCl2·NH4Cl·nNH3(铵镁复盐),然后在700℃脱氨得到无水氯化镁,脱氨反应的化学方程式为               ;电解熔融氯化镁,阴极的电极反应式为               。
(3)储氢材料Mg(AlH4)2在110-200°C的反应为:Mg(AlH4)2=MgH2 +2A1+3H2↑每生成27gAl转移电子的物质的量为               。
(4)工业上用MgC2O4·2H2O热分解制超细MgO,其热分解曲线如图。
图中隔绝空气条件下B→C发生反应的化学方程式为               。
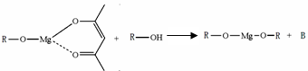
(5)一种有机镁化合物可用于制造光学元件的涂布液,化学式可表示为: ,它可发生如下反应:
,它可发生如下反应:
ROH与B的核磁共振氢谱如下图:
ROH由C、H、O、F四种元素组成的含氟有机物,分子中只有1个氧原子,所有氟原子化学环境相同,相对分子质量为168,则ROH的结构简式为               ; B的结构简式为               。
参考答案:
(1)+84.6(2分)。
(2)MgCl2·NH4Cl·nNH3 MgCl2 +(n+1)NH3↑ + HCl↑ (2分);     Mg2++2e-= Mg(2分)。
MgCl2 +(n+1)NH3↑ + HCl↑ (2分);     Mg2++2e-= Mg(2分)。
(3)3mol(2分)。(4)MgC2O4 MgO + CO↑+ CO2↑(2分)
MgO + CO↑+ CO2↑(2分)
(5)(CF3)2CHOH (2分); (2分)。
(2分)。
本题解析:(1)方程式②-①×2=-64.4-(-74.5)×2=+84.6 kJ·mol-1;(2)化合物分解得到无水氯化镁、氨气、和氯化氢;阴极阳离子放电;(3)该反应中只有铝元素化合价降低,由+3价到0价,生成1mol铝,电子转移3mol;(4)根据图数据计算分析,若总质量为148g,第一次分解产物质量为148×75.7%=112g,第二次分解产物的质量为148×27%=40g,所以A点生成MgC2O4,C点生成MgO;B→C发生反应为MgC2O4 MgO + CO↑+ CO2↑;(5)根据信息含有1个羟基,图谱中显示物质中含有2中化学环境的氢且数目相同,即物质中只含有两个氢原子,其它全被氟取代,根据相对分子质量确定为(CF3)2CHOH。
MgO + CO↑+ CO2↑;(5)根据信息含有1个羟基,图谱中显示物质中含有2中化学环境的氢且数目相同,即物质中只含有两个氢原子,其它全被氟取代,根据相对分子质量确定为(CF3)2CHOH。
考点:考查STS中环境保护有关问题。
本题难度:困难
2、选择题  U常见化合价有+4和+6,硝酸铀酰[UO2(NO3)2]加热可发生如下分
[UO2(NO3)2]--UxOy+NO2↑+O2↑(未配平),将气体产物收集于试管中并倒扣于盛水的水槽中,气体全部被吸收,水充满试管.则生成的铀的氧化物化学式是(  )
A.UO2
B.2UO2?UO3
C.UO3
D.UO2?2UO3
参考答案:将二氧化氮、氧气收集于试管中并倒扣于盛水的水槽中,气体全部被吸收,发生反应4NO2+O2+2H2O=4HNO3,根据原子守恒,将UO2(NO3)2改写成UO3?2NO2?12O2,故生成铀的氧化物化学式是UO3,故选C.
本题解析:
本题难度:一般
3、简答题  写出下列反应的化学方程式
(1)乙烯的水化______
(2)丙烯的加聚反应______
(3)苯的溴代______
(4)甲苯的硝化______
(5)苯乙烯与足量氢气反应______
(6)乙烯的实验室制取原理______.
参考答案:(1)乙烯和水加成生成乙醇,该反应为CH2=CH2 +H2催化剂
本题解析:
本题难度:一般
4、选择题  除废气NO的反应原理为:2CO+2NO=N2+2CO2有关该反应的说法不正确的是 (?)
A.反应中CO为氧化剂
B.反应中NO被还原
C.在反应生成1 mol N2时,转移的电子为4 mol
D.CO和NO都是无色有毒气体
参考答案:A
本题解析:根据方程式可知,CO中碳元素的化合价从+2价升高+4价,失去2个电子,被氧化,CO是还原剂,A不正确;NO中氮元素的化合价从+2价降低到0价,得到2个电子,被还原,NO是氧化剂,B正确;在反应生成1 mol N2时,转移的电子为4mol,C正确;CO和NO都是无色有毒气体,D正确,答案选A。
点评:该题是高考中的常见题型,属于基础性试题的考查,难度不大。明确氧化还原反应的含义、准确判断出有关元素的化合价变化情况,是答题的关键。
本题难度:一般
5、选择题  下列反应属于氧化还原反应,但水既没有做氧化剂又没有做还原剂的是 
A.3NO2+H2O =2HNO3+NO 
B.2F2+2H2O ="4HF" +O2
C.2Na +2H2O=2NaOH+H2↑
D.CaO+H2O =Ca(OH)2
参考答案:A
本题解析:A、NO2中氮元素的化合价有升高也有降低,而水中氢和氧的化合价都没有变化;B、氧元素的化合价升高,水作还原剂;C、氢元素的化合价降低,水作氧化剂;D、不属于氧化还原反应。
本题难度:一般