时间:2019-06-25 22:55:04
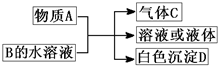
1、简答题 A、B、C、D均为中学化学常见物质,它们之间的反应关系如图所示.
(1)若A是碳化钙,A与B的水溶液反应时只生成气体C、CaCO3和H2O.则B(只含两种元素)的化学式为______,其固态时的晶体为______晶体;C分子中含有的化学键类型是______.
(2)若A是短周期中原子半径最大的元素的单质,D既可溶于NaOH溶液又可溶于盐酸.请写出:
①D溶于盐酸的离子方程式______.
②工业上冶炼A的化学方程式______.
③实验室用惰性电极电解100mL?0.1mol/L?A的氯化物的水溶液(滴有酚酞),一段时间后,若阴阳两极均得到112mL气体(标准状况),则所得溶液的pH为______(忽略反应前后溶液的体积变化).某电极附近溶液颜色变红,原因是______,则该电极与外接直流电源的______极相连接(填“正”、或“负”).
(3)若A是可溶性强碱,B是正盐,D不溶于稀硝酸,则反应的化学方程式是______.
(4)若A常温下为红棕色气体,B是含氧酸盐,D不溶于盐酸,则D的化学式是______.
2、选择题 化合物A、B、C、D各由两种元素组成,甲、乙、丙是短周期元素的三种单质。这些常见的化合物与单质之间存在如下关系(已知C是一种有机物),以下结论不正确的(?)
A.常温下,化合物A、B、C、D均为气体
B.上图所示的五个转化关系中,有三个是化合反应
C.上图所示的五个转化关系中,均为氧化还原反应
D.上述转化关系所涉及的化合物中只有一种是电解质
3、填空题 (10分)
由短周期元素组成的单质A、B、C和甲、乙、丙、丁四种化合物有下图所示的转换关系,已知C为密度最小的气体,甲是电解质。
根据图示转化关系回答:
(1)写出下列物质的化学式:B?、丙?、丁?。
(2)组成单质A的元素在周期表中的位置是?。
(3)乙与过量CO2反应的离子方程式____________________________。
4、推断题 有关FeSO4的转化关系如下图所示(无关物质已略去)。 
已知:①高温下X气体由两种常见含硫的氧化物组成。
②NaOH溶液与气体X恰好完全反应,生成两种常见的正盐。
③Y是红棕色的化合物。
(1)气体X的成分是(填化学式)________。
(2)反应I的反应类型属于(填序号)___________。
a.分解反应 b.复分解反应 c.置换反应 d 91Exam.org.化合反应 e.氧化还原反应
(3)溶液1中含氧酸根离子的检验方法是________________。
(4)若经反应I得到16 g固体Y,产生的气体X恰好被 0.4 L 1 mol/L NaOH溶液完全吸收生成正盐,则反应Ⅳ 中生成FeSO4的离子反应方程式是_____________________。
5、填空题 有一无色溶液,含有Na+、Ag+、Ba2+、Al3+、AlO2-、MnO4-、CO32-、SO42-中的许多种.取该溶液进行如下实验:
①取适量溶液,加入过量盐酸,有气体生成,并得到溶液.
②在①所得溶液中再加入过量的碳酸氢铵溶液,有气体生成,同时析出白色沉淀甲.
③在②所得溶液中加入过量浓Ba(OH)2溶液,也有气体生成,并有白色沉淀乙析出.
根据上述实验回答下列问题:
(1)溶液中一定不存在的离子是______;
(2)一定存在的离子是______;
(3)判断沉淀乙成分的方法是______.