时间:2019-06-25 20:53:09
1、填空题 (14分)
有机化合物A是一种农药生产的中间体,A在一定条件下可发生下列转化:
请回答下列问题:
(1)A分子中不含氧官能团的名称为。
(2)C不能发生反应的类型有(填字母)。
a.取代? b.消去? c.加成? d.氧化? e.加聚
(3)F可能的结构简式为
(4)反应①的化学方程式为。
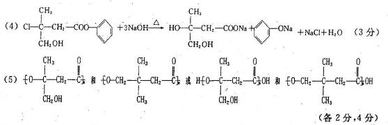
(5)E在一定条件下反应能生成高分子化合物,其可能的结构简式为 、。
参考答案:

本题解析:本题考察有机化合物的结构与性质A分子在NaOH溶液中彻底水解产物为:



?
C遇FeCl3显紫色可知C中含有酚羟基(C中有苯环),B中含有苯环则B的结构为:
?
D的结构为
依次可推出其它物质的结构为:
C为? E为
E到F位分子内的酯化反应
(1)从A的结构可以看出A分子中不含氧的官能团有氯原子和苯基。(2)根据C的结构,酚羟基可以发生氧化反应,苯环可以发生加成反应和取代反应所以C不能发生的反应有消去和加聚反应。(3)E到F的条件为浓硫酸且加热,结合E的结构可判断可能的发应有醇羟基的消去反应,羟基与羧基的酯化反应。所以F得结构可能有
这三种
(4)A在碱性条件下氯原子被取代,酯基发生水解反应①的化学方程式为:
(5)E发生缩聚反应生成高分子化合物,因为分子中羟基有两种所以聚合物其可能的结构有两种即:
本题难度:一般
2、填空题 最近医用化学杂志报道,用聚乙交酯纤维材料所制成的医用缝合线比天然高分子材料(如肠线)还好。聚乙交酯纤维的化学结构简式可表示为
,它是用中间有机物
聚合而成的。
(1)试推导聚乙交酯纤维的单体______________________________________。
(2)写出有关反应的化学方程式______________________________________。
参考答案:(1)HO—CH2—COOH
本题解析:本题可采用逆推法,具体推导如下:
(1) 由结构简式
可推知单体为
。既然高分子聚合物是由单体缩去小分子形成的,观察聚合物的结构简式可知,原单体应为羟基酸,所以给其链节左边的O原子上加H原子,给右边的
上的C原子加—OH即可。
(2)先由单体
进行分子间脱水形成环酯,即中间有机物
,再由中间有机物断裂成链状进一步形成高分子化合物
。
本题难度:一般
3、填空题 (选做题)(19分)化合物A(C8H8O3)为无色液体、难溶于水、有特殊香味的物质,从A出发可发生如图所示的一系列反应,化合物A硝化时可生成2种一硝基取代物,化合物H分子式为C6H6O,G能发生银镜反应。(已知RCOONa+NaOH
RH+Na2CO3)
请回答:
(1)写出化合物A的结构简式?,E中含氧官能团的名称是?。
(2)反应类型:(I)?,(Ⅱ)?,(Ⅲ)?。
(3)写出下列反应的化学方程式
①H
K:?
②C
E:?
③C+F
G:?
参考答案:
(1)
?;醛基(各2分)
(2)取代(水解)反应;取代(酯化)反应;取代反应(各2分)
(3)
↓+3HBr;2CH3OH+O2
2HCHO+2H2O;
CH3OH+HCOOH
?HCOOCH3+H2O(各3分)
本题解析:略
本题难度:简单
4、填空题 糠醛(
)是重要的化工原料,这种化工原料可以由玉米芯、甘蔗渣等农业废弃物水解制得,其性质见下面框图。
(1)写出反应类型:②?,④?。
(2)写出反应③的化学方程式:?。
(3)糠醛有多种同分异构体,写出满足下列条件的糠醛的所有同分异构体?。
①含在碳环②能与Na2CO3溶液反应放出气体③不含C—C—C结构
(4)若E为环状化合物,则其结构简式为?,若E为高聚物,则其结构简式为?。
参考答案:(1)加成反应(1分)取代反应(1分)
(2)
?(2分)
(3) 
(4分)
(4)
?(2分)?
?(2分)
本题解析:(1)反应①脱羰基得到A(
),由此可知反应②为A中碳碳双键与氢气发生加成反应得到(
);结合题中所给反应可知反应④为取代反应得到B(
) (2)反应③为
与HCl发生的开环反应,生成1,4一二氯丁烷和水。(3)满足条件的同分异构体中必含—COOH,再结合条件含有碳环(有三元环或四元环)且不存在C—C—C结构,利用糠醛的分子式(C5H4O2)可得糠醛的同分异构体。(4)利用B的结构简式,结合题干给出反应,利用框图关系可知C、D分别为己二酸、己二氨,因此C中羧基与D中氨基形成肽键可构成环状物质;羧基与氨基依次转化为肽键还可形成高分子化合物。
本题难度:一般
5、填空题 已知:
(X为卤原子,M为烃基或含酯基的取代基等)
由有机物A合成G(香豆素)的步骤如下:
回答下列问题:?
(1)写出C中含氧官能团名称: ,F→G 的反应类型是?。
(2)写出A和银氨溶液反应的化学方程式 。
(3)D的结构简式为 。
(4)F有多种同分异构体,写出同时满足下列条件的一种同分异构体的结构简式: 。
Ⅰ. 分子中除苯环外,无其它环状结构;?Ⅱ.苯环上有两个处于对位的取代基;
Ⅲ. 能发生水解反应,不能与Na反应;Ⅳ.能与新制Cu(OH)2按物质的量比1:2反应
(5)二氢香豆素(
)常用作香豆素的替代品,鉴别二氢香豆素和它的一种同分异构体(
)需要用到的试剂有:NaOH溶液、 。
(6)已知:
(R,R′为烃基),试写出以苯和丙烯(
=CH—CH3)
为原料,合成
的路线流程图(无机试剂任选)。合成路线流程图示例如下:
参考答案:(15分)
(1) 酯基(1分)?酯化反应(取代反应) (1分)
(2) CH2=CHCHO+2Ag(NH3)2OH
CH2=CHCOONH4 +2Ag +H2O +3NH3↑(2分)
(3)
(2分)?(4)
或
或
(2分)
(5) 稀硫酸、FeCl3溶液(或溴水等)(2分)
(6)
?(5分)
本题解析:由已知:
(X为卤原子,M为烃基或含酯基的取代基等)这一个信息得出C和D的结构,CH2=CH―COOCH3和
,B和CH3OH酯化后得C,B为CH2=CH―COOH,?A为CH2=CHCHO,⑴C中含氧官能只有酯基,F→G 分子内―COOH与―OH发生酯化反应,反应类型为:酯化反应(取代反应),故答案:酯基、酯化反应(取代反应);⑵CH2=CH―CHO中醛基发生银镜反应,故答案为:CH2=CHCHO+2Ag(NH3)2OH
CH2=CHCOONH4 +2Ag +H2O +3NH3
⑶答案:
;⑷F的同分异构体有多种,Ⅰ. 分子中除苯环外,无其它环状结构;?Ⅱ.苯环上有两个处于对位的取代基;说明余下的3个碳原子,3个O原子,形成的链状基团有两个不饱和键,Ⅲ. 能发生水解反应,不能与Na反应;说明分子中没有酸基,?Ⅳ.能与新制Cu(OH)2按物质的量比1:2反应,说明分子中只含一个醛基,综上所述:可能有以下三种结构:
或
或
,故答案为:
或
或
;⑸
水解后含有酚羟基,可以用FeCl3溶液检验,操作为:取样加NaOH溶液,加热,冷却,用硫酸酸化,加FeCl3溶液,呈紫色,为
,故所用的试剂答案为:稀硫酸、FeCl3溶液(或溴水等);⑸采用逆推法,要合成
,根据
应先合成
,应先合成
,根据
,应由
与丙烯合成,故答案:
。
本题难度:困难