时间:2019-05-30 05:27:47
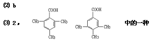
1、填空题 (4分)某有机化合物A因其具有麻醉作用,常用作局部麻醉剂和镇痛剂。它的结构简式如右图所示,请回答:
(1) A的分子式是 ▲ 。
(2) 有机物A不能发生的化学反应有(填序号) ▲ 。
a.加成反应 b.水解反应
c.加聚反应 d.氧化反应
(3)满足下列条件的A的同分异构体有▲种,写出其中一种的结构简式▲。
①能与碳酸氢钠溶液反应;
②核磁共振氢谱显示有四种类型氢原子的吸收峰
2、选择题 当前在人类已知的化合物中,品种最多的是
A.ⅢB族元素的化合物
B.ⅤA族元素的化合物
C.ⅣA族元素的化合物
D.过渡元素的化合物
3、选择题 某一元醛发生银镜反应得到21.6g银,再将等量的醛燃烧生成了5.4g水,则该醛是
[? ]
A. 丙醛
B. 丁醛
C.乙醛
D.戊醛
4、选择题 下列事实:①甲苯能使KMnO4(H+)溶液褪色而乙烷不能;②甲醛能发生银镜反应而甲醇不能;③苯酚分子中的羟基酸性比乙醇分子中的羟基酸性强。可以说明有机物分子中的原子间(或原子与原子团之间)的相互影响会导致物质化学性质不同的是(? )
A.只有①③
B.只有①②
C.只有②③
D.①②③
5、计算题 某含氧有机化合物可以作为无铅汽油的抗爆震剂,它的相对分子质量为88.0,含C的质量分数为68.2%,含H的质量分数为13.6%,红外光谱和核磁共振氢谱显示该分子中有4个甲基。请写出其结构简式。