-->

1、计算题  CO和H2在443?K~473?K温度下,用钴(Co)作催化剂时,可以反应生成n(C)=5~8的烷烃,这是人工合成汽油的方法之一。 ?
(1)写出用CnH2n+2表示的人 ">

高考化学知识点整理《有机物燃烧规律的计算》高频试题预测(2019年最新版)

时间:2019-05-30 05:26:12

微信搜索关注"91考试网"公众号,领30元,获取事业编教师公务员等考试资料40G

1、计算题  CO和H2在443?K~473?K温度下,用钴(Co)作催化剂时,可以反应生成n(C)=5~8的烷烃,这是人工合成汽油的方法之一。 ?
(1)写出用CnH2n+2表示的人工合成汽油的配平的化学方程式______________________。 ?
(2)如果向密闭的合成塔里通入恰好能完全反应的CO和H2,当完全反应后,合成塔内温度不变,而塔内气体压强降低到原来的2/5。通过计算说明这时有无汽油生成。
(3)要达到上述合成汽油的要求,CO和H2的体积比的取值范围应是多少?



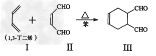
2、填空题  已知﹕
600)makesmallpic(this,600,1800);\' style=\"WIDTH: 311px; HEIGHT: 112px; VERTICAL-ALIGN: middle\" src=\"http://www_php168_com/91files/2016060705/upxu2hhwgtm.png\">
化合物Ⅱ可由化合物Ⅰ制备,路线如下﹕
600)makesmallpic(this,600,1800);\' style=\"WIDTH: 311px; HEIGHT: 37px; VERTICAL-ALIGN: middle\" src=\"http://www_php168_com/91files/2016060705/y1rclujub5d.png\">
(1) 化合物Ⅲ的化学式为_________,l mol该物质完全燃烧需消耗_________mol O2。
(2) 写出转化Ⅳ→V的化学方程式________________________________。(注明条件)。
(3) 写出转化V→Ⅱ的化学方程式_______________________________(不要求注明条件)。
(4) 化合物Ⅲ有多种同分异构体,请写出一种符合下列条件的同分异构体:___________。?
①遇FeCl3溶液显紫色;?
②核磁共振氢谱有3种信号峰;?
③苯环上的一氯代物只有一种结构。
(5) 化合物V和化合物Ⅵ在一定条件下按物质的量m﹕n反应合成高分子化台物Ⅶ,且原子转化率为100%。高分子化合物Ⅶ的结构简式为________________。



3、选择题  下列化学式及结构式中,从成键情况看不合理的是
A.CH3N600)makesmallpic(this,600,1800);\' src=\"http://www_php168_com/91files/2016060705/fv21lml0zpk.png\" style=\"vertical-align:middle;\">
B.CH4Si600)makesmallpic(this,600,1800);\' src=\"http://www_php168_com/91files/2016060705/fyjrpidczqs.png\" style=\"vertical-align:middle;\">
C.CH2SO 600)makesmallpic(this,600,1800);\' src=\"http://www_php168_com/91files/2016060705/sgegbbxljqq.png\" style=\"vertical-align:middle;\">
D.CH4S600)makesmallpic(this,600,1800);\' src=\"http://www_php168_com/91files/2016060705/b0yahl1gutr.png\" style=\"vertical-align:middle;\">



4、选择题  某有机物A由C、H、O三种元素组成,相对分子质量为90。将9.0 g A完全燃烧的产物依次通过足量的浓硫酸和碱石灰,分别增重5.4 g和13.2 g。A能与NaHCO3溶液发生反应,且2分子A之间脱水可生成六元环化合物。有关A的说法正确的是
[? ]
A.分子式是C3H8O3
B.A催化氧化的产物能发生银镜反应
C.0.1 molA与足量Na反应产生2.24LH2(标准状况)
D.A在一定条件下发生缩聚反应的产物是600)makesmallpic(this,600,1800);\' style=\"WIDTH: 138px; HEIGHT: 39px; VERTICAL-ALIGN: middle\" src=\"http://www_php168_com/91files/2016060705/oy0moxk0ecb.png\">



5、选择题  在常压、120℃的条件下,CH4与H2的混合气体120 mL与300mL O2混合并点燃,使气体充分燃烧,恢复到原条件时,气体体积为390 mL。H2在混合气体中的体积分数为
[? ]
A.30%
B.40%
C.50%
D.60%




微信搜索关注"91考试网"公众号,领30元,获取公务员事业编教师考试资料40G
【省市县地区导航】【考试题库导航】
 ★ 高考省级导航 ★ 
全国 A安徽 B北京 C重庆 F福建 G广东 广西 甘肃 贵州 H河南 河北 湖南 湖北 黑龙江 海南 J江苏 江西 吉林 L辽宁 N内蒙古 宁夏 Q青海 S山东 山西 陕西 四川 上海 T天津 X新疆 西藏 Y云南 Z浙江
 ★ 高考信息汇总 ★ 
 ★ 高考历年真题 ★ 
 ★ 高考历年真题 ★ 
 ★ 高考题库 ★ 
 ★ 高考题库 ★ 

电脑版  |  手机版  |  返回顶部