时间:2019-05-30 04:28:08
1、推断题 2004年是俄国化学家马尔柯夫尼柯夫(V.V.Markovnikov,1838~1904)逝世100周年。马尔柯夫尼柯夫因为提出碳碳双键的加成规则而闻名于世,该规则是指不对称的烯烃与HX或HCN加成时,氢总是大部分加到含氢较多的双键碳原子上。
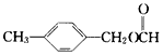
已知:CH3CH2CN
CH3CH2COOH上面是某有机物F的合成路线,请填写下列空白。
(1)写出下列物质的结构简式A_________,C__________。
(2)反应①的反应类型是_________,反应②的反应类型是_________。
(3)写出③的化学方程式__________________。
(4)写出与D互为同分异构体、结构中含有苯环且苯环上含有一个甲基(苯环上的取代基处于对位)的酯类的结构简式_______________(写出一种即可)。
参考答案:(1)
;
(2)加成反应 水解反应(或取代反应)(3)
(4)
(或
;
)
本题解析:
本题难度:一般
2、简答题 乙酸乙酯是重要的化工原料,生产乙酸乙酯的途径也很多.已知乙醛(CH3CHO)在一定条件下可被氧化成乙酸,也可以被还原成乙醇.现有淀粉、水、空气、乙烯等原料,如果分别用上述两种不同的有机原料开始合成乙酸乙酯,请绘制出有关的合成路线图,并在图中标明原料和各步转化产物(有机产物)的名称(无须写反应方程式).
示例:
合成路线一:______
合成路线二:______.
参考答案:合成路线一:以淀粉为原料,经水解生成葡萄糖,葡萄糖生成乙醇,乙醇被氧化生成乙醛、乙酸,二者酯化可生成乙酸乙酯,可为
,
故答案为:
;
合成路线二:以乙烯为原料,乙烯和水发生加成反应生成乙醇,乙醇乙醇被氧化生成乙醛、乙酸,二者酯化可生成乙酸乙酯,可为
,
故答案为:
.
本题解析:
本题难度:一般
3、选择题 0.01mol某种有机物完全燃烧后,生成二氧化碳和0.54g?H2O,则该有机物不可能是( )
A.丙烯
B.乙烷
C.乙醇
D.乙酸
参考答案:D
本题解析:
本题难度:简单
4、推断题 A、B、C、D是四种人们熟悉的与生命运动密切相关的化合物,它们所含的元素不超过三种;目前化合物B在自然界里的含量呈上升趋势,造成环境温度升高,从而对环境产生不利影响;E是一种生活中常见的化合物,它们有下列关系(反应条件均未注明): 
试回答: ?
(1)写出下列化合物的分子式:?A_____,B______,C____,D____。?
(2)写出②、③两反应的化学方程式(并注明反应条件):
反应②_______________;反应③____________________;?
(3)常温下,①实现的途径为__________________。
参考答案:(1)H2O;CO2;C6H12O6;(C6H10O5)n?
(2)(C6H10O5)n+ nH2O
nC6H12O6;C6H12O6
2C2H5OH?+?2CO2↑
(3)植物的光合作用
本题解析:
本题难度:一般
5、选择题 以乙醇为原料,用下述6种类型的反应:①氧化,②消去,③加成,④酯化,⑤水解,⑥加聚,来合成乙二酸乙二酯(
)的正确顺序是( )
A.①⑤②③④
B.①②③④⑤
C.②③⑤①④
D.②③⑤①⑥
参考答案:C
本题解析:其合成路线可表示如下:

本题难度:一般