时间:2019-05-30 03:53:46
1、选择题 在酯化反应的实验中制得的乙酸乙酯中混有少量的CH2COOH,应选用下列哪种试剂洗涤除去(?)
A.饱和Na2CO3溶液
B.乙醇
C.NaOH
D.水
2、选择题 某有机物的结构简式是
,该物质不具有的化学性质
[? ]
①燃烧 ②跟溴加成 ③被KMnO4酸性溶液氧化 ④与NaHCO3溶液反应
⑤与NaOH溶液反应 ⑥发生消去反应
A.①③
B.③⑥
C.④⑥
D.④⑤
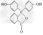
3、填空题 酚酞是常用的酸碱指示剂,其结构简式如图所示
(1)酚酞的化学式:_________。
(2)从结构上看,酚酞可看作?__________(填序号)。
A.烯烃?B.芳香族化合物?C.醇类物质 D.酚类物质?E.醚类物质?F.酯类物质
4、选择题 乙酸和乙醇在浓硫酸存在的条件下发生反应,生成的有机物的分子量是88,今有分子量比乙醇大16的有机物和乙酸在相似的条件下发生类似的反应,生成的有机物的分子量为146,下列叙述正确的是(? )
A?是丙三醇和乙酸发生了酯化反应
B?生成的有机物是乙酸丙酯
C?分子量为146的有机物可以发生水解反应
D?发生的反应属消去反应
5、填空题 请根据官能团的不同对下列有机物进行分类。
A.CH3CH2CH2COOH B.HCOOC2H5 C.CH3CH2CH2CH2Cl D.CH3CHO E.
F.?
G.
H. CH3CH2CH=CHCH3
(1)脂肪羧酸:_________(2)酯:_________(3)卤代烃:_________(4)醛:_________
(5)芳香烃:_________(6)酚:_________(7);芳香酸:_________(8)烯:_________