时间:2019-05-30 03:53:46
1、选择题 下列物质中各含有少量杂质,能用饱和Na2CO3溶液并借助于分液漏斗除去杂质的是(?)
A.苯中含有少量甲苯
B.乙醇中含少量乙酸
C.乙酸乙酯中含有少量乙酸
D.溴苯中含有少量苯
参考答案:C
本题解析:A.苯中含有少量甲苯都不能在饱和Na2CO3溶液溶解,因此不能用于分离提纯。错误。B.乙醇中含少量乙酸,乙酸能与Na2CO3发生反应得到乙酸钠、水、二氧化碳。但是乙醇在该溶液中也能大量溶解,故不能借助于分液漏斗除去杂质。错误。C.乙酸乙酯在饱和Na2CO3溶液中溶解度小,密度比水小,而乙酸能与Na2CO3发生反应得到溶液溶解于水乙酸钠、水、二氧化碳。得到的溶液是互不相容的两层液体,能借助于分液漏斗除去杂质。正确。D.二者在饱和Na2CO3溶液都不能溶解。因此不符合题意。错误。
本题难度:一般
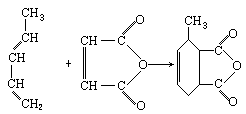
2、计算题 已知在光或热的作用下,由共轭二烯烃和一个亲双烯体发生1,4加成反应,生成环状化合物,如:
据此,请写出下列反应产物的结构简式:
(1)CH2=CH—CH=CH2+CH2=CH—CHO
参考答案:(1)CH2=CH—CH=CH2+CH2=CH—CHO →?
?→?
本题解析:本题考查了观察能力,对所给反应方程观察与分析可发现二烯烃实际上是1、4位发生加成反应,则不难得出(1)的产物是:
,(2)的产物是:
本题难度:一般
3、选择题 有关该物质的说法正确的是
[? ]
A.遇FeCl3溶液显紫色,因为该物质与苯酚属于同系物
B.滴入酸性KMnO4溶液,观察紫色褪去,能证明结构中存在碳碳双键
C.1?mol该物质分别与浓溴水和H2反应时,最多消耗Br2和H2分别为4?mol、7?mol?
D.该分子中的所有碳原子不可能共平面
参考答案:C
本题解析:
本题难度:一般
4、选择题 普伐他汀是一种调节血脂的药物,其结构简式如图所示(未表示出其空间构型)。下列关于普伐他汀的性质描述正确的是 
[? ]
A.能与FeCl3溶液发生显色反应
B.能使酸性KMnO4溶液褪色
C.能发生加成、取代、消去反应
D.1mol该物质最多可与1molNaOH反应
参考答案:BC
本题解析:
本题难度:一般
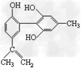
5、选择题 金银花是治疗和预防甲型H1N1的常见中草药,有效活性成分为绿原酸,又名咖啡鞣酸,具有广泛的杀菌消炎功效,结构式如图所示,下列有关绿原酸的说法不正确的是? 
[? ]
A.分子式为C16H18O9
B.含有羧基、羟基、酯基等含氧官能团
C.1 mol绿原酸最多与5 mol H2加成
D.1 mol绿原酸最多与4 mol NaOH反应
参考答案:C
本题解析:
本题难度:一般