时间:2019-05-30 03:02:24
1、填空题 我国第二代身份证采用的是具有绿色环保性能的PETG新材料,PETG新材料可以回收再利用,而且对周边环境不构成任何污染。PETG的结构简式如下:
?这种材料可采用如下图所示的合成路线 
(1)
(2)RCOOR1+R2OH→RCOOR2+R1OH(R、R1、R2表示烃基) 试回答下列问题:
(1)⑦的反应类型是_____________________。
(2)写出I的结构简式:_______________________。
(3)合成时应控制的单体的物质的量:n(H):n(E):n(D)=_________(用m、n表示)。
(4)写出反应②的化学方程式:____________________________。
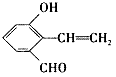
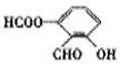
(5)写出同时符合下列两项要求的E的所有同分异构体的结构简式。
①该同分异构体的苯环上相邻的三个碳原子上都连有取代基。
②该同分异构体在一定条件下能发生银镜反应和水解反应,遇到FeCl3溶液显紫色__________________、___________________、_____________________。
参考答案:(1)取代反应
(2)
(3)n:(m+n):m
(4)
(5)
;
;
本题解析:
本题难度:一般
2、填空题 软性隐形眼镜可由聚甲基丙烯酸羟乙酯(HEMA)制成超薄镜片,其合成路线可以是:
已知⑴
⑵CH3COOCH2CH2OH的名称为乙酸羟乙酯
试写出:
小题1:A、D、E的结构简式分别为:A?D?E?。
小题2:写出下列转化的化学方程式:
I→G?;
G+F→H?;
H→HEMA?。
参考答案:
小题1:CH2=CHCH3? CH3COCH3? (CH3)2C(OH)COOH?(各2分)
小题2:CH2ClCH2Cl+2H2O
HOCH2CH2OH+2HCl?(各3分)
HOCH2CH2OH +CH2=C(CH3)COOH
?CH2=C(CH3)COOCH2CH2OH+H2O?
本题解析:考查有机物的合成。有机合成一般长采用逆推法或正逆同时进行。
根据HEMA的结构简式可判断,该物质是甲聚产物,其单体是H ,其结构简式为
CH2=C(CH3)COOCH2CH2OH,H是G和G的酯化产物,根据I可推断G是乙二醇,结构简式为HOCH2CH2OH,则I是CH2ClCH2Cl,F是CH2=C(CH3)COOH。根据B的分子式可判断A通过加成反应生成的B,即A是丙烯。B水解得到C,C是丙醇。根据F的结构简式可判断,D应该是丙酮,则C是2-丙醇,B是2-溴丙烷。根据信息(1)可知E的结构简式为(CH3)2C(OH)COOH,E通过消去反应生成F。
本题难度:一般
3、填空题 人造羊毛的主要成分为
,此物质可由以下三种途径合成,已知A是石油分馏的一种产品, 回答下列问题:

参考答案:(1) C4H10?;
(2)① ;②③
(3)2CH2=CH-CH3+2NH3+3O2
2CH2=CH-CN+6H2O
(4)途径(Ⅲ)? ;原料来源丰富,生产过程中能耗少、产品产率高、污染少
本题解析:
本题难度:一般
4、推断题 G是一种合成橡胶和树脂的重要原料;A是一种五元环状化合物,其核磁共振氢谱上只有一个峰;F的核磁共振氢谱上有3个峰,峰面积之比为2:2:3。已知(其中R是烃基) 
有关物质的转化关系如下图所示,请回答以下问题。 
(1)C中所含官能团的名称是________;④的反应类型是________ 反应。
(2)G的结构简式是____________________
(3)反应②的化学方程式为________________________
(4)若E在一定条件下发生缩聚反应生成高分子化合物,写出其中两种的结构简式:_________________
?(5)反应⑥的化学方程式为____________________
(6)有机物Y与E互为同分异构体,且具有相同的官能团种 类和数目,写出所有符合条件的Y的结构简式:________________
参考答案:(l)羧基;消去
(2)CH2=CHCH=CH2
(3)HOOCCH=CHCOOH +H2
HOOCCH2CH2COOH
(4)
(5)HOOCCH2CH2COOH + 2CH3CH2OH
CH3CH2OOCCH2CH2COOCH2CH3+2H2O
(6)
本题解析:
本题难度:一般
5、填空题 从樟科植物枝叶提取的精油中含有下列甲、乙、丙三种成分:

(1)甲中含氧官能团的名称为________ 。
(2)由甲转化为乙需经下列过程(已略去各步反应的无关产物,下同): 
其中反应I的反应类型为____,反应Ⅱ的化学方程式为______(注明反应条件)。
(3)已知:
由乙制丙的一种合成路线图如下(A-F均为有机物,图中Mr表示相对分子质量): 
①下列物质不能与C反应的是________(选填序号)。
a.金属钠 b.HBr c.Na2CO3溶液 d.乙酸
②写出F的结构简式________。
③D有多种同分异构体,任写其中一种能同时满足下列条件的异构体结构简式_______________ 。
a.苯环上连接三种不同官能团
b.能发生银镜反应
c.能与Br2/CCl4发生加成反应
d.遇FeCl3溶液显示特征颜色
④综上分析,丙的结构简式为__________。
参考答案:(1)羟基
(2)加成反应;“略”
(3)①c;②
;③
(或其他答案合理即可);④
本题解析:
本题难度:一般