时间:2019-05-30 02:54:26
1、选择题 下列结论正确的是
A.能导电的物质是电解质
B.电解质在通电时能发生电离
C.氯化钾晶体不导电,它是非电解质
D.硫酸镁晶体溶于水能导电,所以它是电解质
2、选择题 在20mL?0.l0mol?L-1?HCl溶液中逐滴加入0.20mol?L-1氨水,容液pH和加入的氨水的体积关系曲线如右图所示,有关微粒浓度大小关系正确的是( )
A.A、B间的溶液中可能有:c(Cl-)>c(NH4+)>c(H+)>c(OH-)
B.B点:c(Cl-)=c(NH4+)>c(OH-)=c(H+),且a=10.0
C.C点:c(NH4+)>c(Cl-)>c(H+)>c(OH-)
D.D点:c(Cl-)>c(NH4+)>c(OH-)>c(H+)
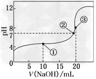
3、选择题 常温下,用0.100?0?mol/L?NaOH溶液滴定20.00?mL?0.100?0?mol/L?CH3COOH溶液所得滴定曲线如图所示.下列说法正确的是? 
[? ]
A.点①所示溶液中:c(CH3COO-)+c(OH-)=c(CH3COOH)+c(H+)
B.点②所示溶液中:c(Na+)=c(CH3COOH)+c(CH3COO-)
C.点③所示溶液中:c(Na+)>c(OH-)>c(CH3COO-)>c(H+)
D.滴定过程中可能出现:c(CH3COOH)>c(CH3COO-)>c(H+)>c(Na+)>c(OH-)
4、选择题 以下是几种酸碱指示剂变色的pH范围:①甲基橙3.1~4.4 ②甲基红4.4~6.2 ③酚酞8.2~10,现用0.1000 mol/L NaOH溶液滴定浓度相近的乙酸时,上述指示剂
A.都可以用
B.只能用③
C.可以用①或②
D.可以用②或③
5、选择题 将pH=3的盐酸溶液和pH=11的氨水等体积混和后,溶液中离子浓度关系正确的是( )
A.[NH4+]>[Cl-]>[H+]>[OH-]
B.[NH4+]>[Cl-]>[OH-]>[H+]
C.[Cl-]>[NH4+]>[H+]>[OH-]
D.[Cl-]>[NH4+]>[OH-]>[H+]