时间:2019-05-30 02:36:31
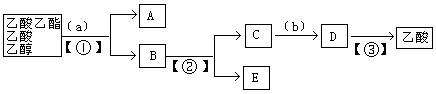
1、选择题 (附加题)以下是分离乙酸乙酯、乙酸、乙醇的混合物的流程图,图中圆括号内是适当的试剂,方括号内是适当的分离方法,方框内是有关物质的名称。下列说法正确的是(?)
A.a为NaOH溶液,b是盐酸
B.①、②、③均为蒸馏
C.A是乙酸乙酯,①为分液
D.b是硫酸,②为分液
2、简答题 菠萝酯是一种食用香料,是化合物甲与苯氧乙酸
发生酯化反应的产物。
(1)甲一定含有的官能团的名称是?。
(2)5.8 g甲完全燃烧产生0.3 mol CO2和0.3 mol H2O,甲蒸气对氢气的相对密度是29,甲分子中不含甲基,且为链状结构,其结构简式是?。
(3)苯氧乙酸有多种酯类的同分异构体,写出其中能与FeCl3溶液发生显色反应,且苯环上只有两种一硝基取代物的所有可能的同分异构体的结构简式:?
?。
(4)已知:

菠萝酯的合成路线如下:
①试剂X不能选用的是(选填字母)?。
a.CH3COONa溶液 b.NaOH溶液
c.NaHCO3溶液? d.Na
②丙的结构简式是?,反应Ⅱ的反应类型是?。
③反应Ⅳ的化学方程式是?。
3、实验题 (7分)已知乳酸的结构简式为
?。试回答:
(1)乳酸分子中含有________和_________两种官能团(写名称);
(2)乳酸与金属钠溶液反应的化学方程式为
___________________________________________________________________;
(3)乳酸与Na2CO3溶液反应的化学方程式为
___________________________________________________________________;
(4)当乳酸和浓硫酸共热时,能产生多种酯类化合物,任意写出一种该类产物的结构简式
4、选择题 下列关于有机物的归类不正确的是( ? )
A.甲烷、乙烷属于烷烃
B.维生素属于糖类
C.油脂属于酯类
D.纤维素属于糖类
5、选择题 盐酸乙哌立松片是一种骨骼肌松弛剂,能改善由肩周炎、腰痛症等引起的肌紧张状况。其有效成分的结构简式如下
下列关于该化合物的说法错误的是
[? ]
A.它是芳香族化合物?
B.它易溶于水,较易溶于乙醇,却难溶于丙酮
C.它能发生还原反应?
D.它不能使酸性高锰酸钾溶液褪色