-->

1、选择题  为鉴别K2CO3和NaHCO3两种白色固体,有五位同学为鉴别它们,分别设计了下列五种不同的方法,其中不可行的是
①分别取样加入1mol/L的盐酸溶液,看有无气泡产生

高中化学知识点归纳《物质的组成》高频试题强化练习(2017年最新版)

时间:2018-03-17 07:26:24

微信搜索关注"91考试网"公众号,领30元,获取事业编教师公务员等考试资料40G

1、选择题  为鉴别K2CO3和NaHCO3两种白色固体,有五位同学为鉴别它们,分别设计了下列五种不同的方法,其中不可行的是
①分别取样加入1mol/L的盐酸溶液,看有无气泡产生
②分别取样在试管中加热,将可能产生的气体通入澄清石灰水,观察有无白色浑浊
③分别取样配成溶液,滴加BaCl2溶液,观察有无白色浑浊
④分别配成溶液,用铂丝蘸取溶液在酒精灯火焰上灼烧,观察火焰的颜色
⑤分别取样配成溶液,滴加澄清石灰水,观察有无白色浑浊
A.①③⑤
B.②④
C.①⑤
D.③



2、选择题  已知X为第三周期元素的原子,该原子要达到8电子稳定结构,则需要的电子数小于其次外层和最内层的电子数之差,且等于最内层电子数的整数倍。下列说法正确的是(?)
A.X元素最高价氧化物对应的水化物一定是强酸
B.X元素的氢化物的化学式一定为H2X
C.X的单质一定是良好的半导体材料
D.X元素的氧化物一定能与烧碱反应



3、填空题  下表为元素周期表的一部分:

?族
周期
?
?
?
1

?
?
?
?
?
?
?
2
?
?
?
?
?

?
?
3

?
?

?


?
?
Ⅰ.请参照元素①-⑥在表中的位置,用化学用语回答下列问题:
(1)写出元素②的离子结构示意图______________。
(2)②、③、⑤的离子半径由大到小的顺序为_________________________。
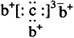
(3)元素④与⑥形成化合物的电子式是_________________________。
Ⅱ.由上述部分元素组成的物质间,在一定条件下,可以发生下图所示的变化,其中A是一种淡黄色固体。请回答:
600)makesmallpic(this,600,1800);\' src=\"http://www_php168_com/91files/2016060800/zfhkz4ohmws.png\" style=\"vertical-align:middle;\">
(4)写出固体A与液体X反应的离子方程式?
(5)气体Y是一种大气污染物,直接排放会形成酸雨。可用溶液B吸收,当B与Y物质的量之比为1:1且恰好完全反应时,所得溶液D。已知溶液D显酸性,则D溶液中各种离子浓度由大到小的顺序为?
(6)在500℃,101kPa时,气体C与气体Y反应生成0.2mol气体E时,放出akJ热量,写出该条件下反应的热化学方程式?
(7)若气体C与Y在恒容绝热的条件下反应,下列说法能判断达到平衡状态的是?
A.温度不变? B.气体总压强不变? C.混合气体的密度不变? D.混合气体的平均分子量不变



4、填空题  A、B、C、D、E、F为短周期主族元素,原子序数依次增大,A原子中不含中子; C、D同周期;D的质子数 比B与C的最外层电子数之和少1,D的最外层电子数是次外层电子数的3倍;E与A同族,F与E同周期并且是该周期原子半径最小的金属元素。
⑴由A、B元素组成的是石油化工生产标志的物质的结构式是:?
⑵由A、D、E元素组成的物质与A、D、F元素组成的物质反应的离子方程式是:__________?
⑶B、C、D分别与A组成最简单化合物的稳定性从大到小顺序是:?
⑷由A、C、D元素组成盐含有的化学键有?(填化学键类型)该物质与A、D、E元素组成的物质反应的方程式是:
?
⑸E、F所在的金属元素最高价氧化物对应水化物的碱性由弱到强顺序是?(用化学式表示)



5、选择题  下列判断错误的是
A.沸点:NH3>PH3>AsH3
B.稳定性:HF>HCl>HBr>HI
C.酸性:HClO4>H2SO4>H3PO4
D.碱性:NaOH>Mg(OH)2>Al(OH)3




微信搜索关注"91考试网"公众号,领30元,获取公务员事业编教师考试资料40G
【省市县地区导航】【考试题库导航】
 ★ 高考省级导航 ★ 
全国 A安徽 B北京 C重庆 F福建 G广东 广西 甘肃 贵州 H河南 河北 湖南 湖北 黑龙江 海南 J江苏 江西 吉林 L辽宁 N内蒙古 宁夏 Q青海 S山东 山西 陕西 四川 上海 T天津 X新疆 西藏 Y云南 Z浙江
 ★ 高考信息汇总 ★ 
 ★ 高考历年真题 ★ 
 ★ 高考历年真题 ★ 
 ★ 高考题库 ★ 
 ★ 高考题库 ★ 

电脑版  |  手机版  |  返回顶部