时间:2018-03-17 06:31:05
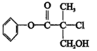
1、选择题 某有机物A 是农药生产中的一种中间体,其结构简式如下。下列叙述中正确的是
[? ]
A.有机物A 属于芳香烃
B.有机物A 可以与Br2的CCl4溶液发生加成反应
C.有机物A 与浓硫酸混合加热,可以发生消去反应
D.1 mo1A 与足量的NaOH 溶液反应,最多可以消耗3mol NaOH
2、选择题 白酒密封储存在地窖里,时间越长越香,形成这种香味效果的主要物质是
A.醇类物质 B.酯类物质 B.酸类物质 D.盐类物质?
3、实验题 (6分)
“酒是陈的香”就是因为酒在储存过程中生成了有香味的乙酸乙酯,在实验室和工业上常采用如下反应:
来制取乙酸乙酯。
(1)实验时,试管B观察到的现象是界面处产生浅红色,下层为蓝色,振荡后产生气泡,界面处浅红色消失,原因是(用化学方程式表示)?。?欲从上述混合物中分离出乙酸乙酯,采用的分离方法是?(填操作名称)
(2)事实证明,此反应以浓
为催化剂,也存在缺陷,其原因可能是?。
a.浓H2SO4易挥发,以至不能重复使用?b.会使部分原料炭化
c.浓H2SO4有吸水性? d.会造成环境污染
4、选择题 某酯的结构可表示为CmH2m+1COOCnH2n+1,已知m+n=5,该酯的一种水解产物经过催化氧化可转化为它的另一种水解产物,则原来的酯是(?)
A
、丙酸异丙酯? B、乙酸丁酯? C、丁酸甲酯? D、丙酸丙酯
5、选择题 脑白金又名褪黑激素,据报道它具有提高免疫力、促进睡眠等功能,其结构简式如下图,下列有关脑白金说法不正确的是
?[? ]
A.能发生加成反应
B.属于芳香族化合物
C.分子式为C14H16N2O2
D.不能使高锰酸钾酸性溶液褪色