-->

1、简答题  (10分)(1)下列四种烃分别在氧气中完全燃烧:(填字母序号)
①若烃的物质的量相等,则消耗氧气最多的是?
②若烃的质量相等,则消耗氧气最多的是?
③若反应前后(150℃)气体的物质的量不发生 ">

高中化学知识点归纳《分子式、结构式、结构简式、实验式》高频试题预测(2017年最新版)

时间:2018-03-17 05:46:52

微信搜索关注"91考试网"公众号,领30元,获取事业编教师公务员等考试资料40G

1、简答题  (10分)(1)下列四种烃分别在氧气中完全燃烧:(填字母序号)
①若烃的物质的量相等,则消耗氧气最多的是?
②若烃的质量相等,则消耗氧气最多的是?
③若反应前后(150℃)气体的物质的量不发生变化,则该烃可能是?
A.C2H6? B.C2H4? C.C4H10? D.C5H10
(2)下列各组化合物中,不论二者以什么比例混合,完全燃烧时:
①若总质量不变,耗O2量不变的是?;生成水的质量不变的是?
②若总的物质的量不变,则耗O2量不变的是?;生成CO2的质量不变的是?
A. C2H4、C3H6? B. HCHO、CH3COOH?
C. CH4、CH3COOH? D. CH2==CH2、CH3CH2OH?


参考答案:(10分)
(1)① D(1分)?② A(1分)? ③B(1分)
  (2)① AB(2分) AB(2分) ② CD(2分)? D(1分)


本题解析:(1)①烃的物质的量相等时,含碳原子数和氢原子数多的耗氧量高,故为D;②烃的质量相等时,含氢质量分数高的烃耗氧量高,四种烃可改写为:CH3、CH2、CH2.5、CH2,故为A;③若反应前后(150℃)气体的物质的量不发生变化,则需满足氢原子的个数为4,故为B;(2)①总质量不变时,最简式相同,耗氧量不变,A、B最简式相同,故含氧量相同,生成水的质量相等;②等物质的量时,消耗氧气的物质的量相同,C中的CH3COOH改写为:CH4.CO2,故物质的量相等时甲烷和乙酸的耗氧量相等,D中的CH3CH2OH改写成C2H4.H2O,和乙烯耗氧量相等,故为CD;乙烯和乙醇含碳原子个数相等,故物质的量相等时生成二氧化碳的物质的量相等,故为D。


本题难度:一般



2、选择题  下列有机化合物分子中所有的原子不可能都处于同一平面的是(  )
A.CH3-O-CH3
B.HC≡CH
C.C6H5-CH=CH-CHO
D.CF2=CF2


参考答案:A


本题解析:


本题难度:一般



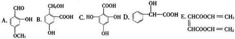
3、填空题  下列有机物中:
600)makesmallpic(this,600,1800);\' src=\"http://www_php168_com/91files/2016060723/fcgqhzx5sh5.jpg\" style=\"vertical-align:middle;\">
(1)能与金属钠反应的是?(2)能与NaHCO3反应的是?
(3)能与Na2CO3反应的是?


参考答案:(1)A、B、C、D (2)B、C、D(3)A、B、C、D


本题解析:羟基的活泼性大小顺序是羧基>H2CO3>酚羟基>HCO3->醇羟基。所以能和金属钠反应的官能团有羟基和羧基,和碳酸氢钠反应的官能团是羧基,和碳酸钠反应的官能团是羧基和酚羟基。


本题难度:一般



4、选择题  下列物质肯定为纯净物的是
A.汽油
B.C2H4
C.煤焦油
D.福尔马林


参考答案:B


本题解析:由一种物质构成的是纯净物,A、5-11个碳原子的烃,C、主要含有苯、甲苯、二甲苯、萘、蒽等芳烃,以及芳香族含氧化合物(如苯酚等酚类化合物),含氮、含硫的杂环化合物等多种有机物,可采用分馏的方法把煤焦油分割成不同沸点范围的馏分。D、甲醛的水溶液,都是混合物,B是乙烯,属于纯净物,答案选B


本题难度:一般



5、填空题  (1)
为进行Ⅰ项中的除杂实验(括号内为杂质),请从Ⅱ项中选出一种试剂,从Ⅲ项中选出一合适的实验操作方法分离,将标号填在后面的答案栏内。

Ⅰ 除杂实验
Ⅱ 试剂
Ⅲ 操作方法
答案



①苯(苯酚)
A.饱和Na2CO3溶液
B.NaCl晶体
C.NaOH溶液
D.CaO
a.蒸馏
b.分液
c.盐析、过滤

?
?
②乙醇(水)

?
?
③肥皂(甘油、水)

?
?
④乙酸乙酯(乙酸)

?
?
(2)(8分)现有以下有机物:(用序号回答下列各问)
600)makesmallpic(this,600,1800);\' src=\"http://www_php168_com/91files/2016060723/3fhdn5dillf.png\" style=\"vertical-align:middle;\">?② 600)makesmallpic(this,600,1800);\' src=\"http://www_php168_com/91files/2016060723/e1t1nn3n4tl.png\" style=\"vertical-align:middle;\">?③ 600)makesmallpic(this,600,1800);\' src=\"http://www_php168_com/91files/2016060723/0ala14pewxo.png\" style=\"vertical-align:middle;\">?④ 600)makesmallpic(this,600,1800);\' src=\"http://www_php168_com/91files/2016060723/cnpdfzbuvd2.png\" style=\"vertical-align:middle;\">
①能与600)makesmallpic(this,600,1800);\' src=\"http://www_php168_com/91files/2016060723/t1phqjn4f3s.png\" style=\"vertical-align:middle;\">溶液反应的有_________________;
②能与银氨溶液反应产生银镜的是____________________;
③既能发生消去反应,又能发生酯化反应的有___________________;
④核磁共振氢谱图中有3个吸收峰,面积比为3:2:1的是___________;
(3)(4分)a.在洁净的试管中加入少量硝酸银溶液,再逐滴滴加稀氨水,现象是生成白色沉淀,反应的离子方程式是①_______________________ ;继续滴加至沉淀恰好溶解,即得银氨溶液;b. 向a中所得的银氨溶液中滴入少量葡萄糖溶液,混合均匀后,放在水浴中加热3min~5min,即可在试管内壁上形成银镜,则此反应的化学方程式为②(葡萄糖的结构简式用G-CHO表示):?


参考答案:(1)①C? b?②D? a?③B? c?④A? b? (2)③④;?①④;?②;?②④。
(3)①Ag++NH3·H2O=AgOH↓+NH4+?②GCHO+2Ag(NH3)2OH600)makesmallpic(this,600,1800);\' src=\"http://www_php168_com/91files/2016060723/yezpujmvlo1.png\" style=\"vertical-align:middle;\">GCOONH4+2Ag↓+3NH3+H2O


本题解析:(1)①苯酚能和氢氧化钠溶液反应,所以除去苯中苯酚的试剂是氢氧化钠溶液,然后分液即可,答案选C、b。
②乙醇和水互溶,应该用生石灰,然后蒸馏即可,答案选D、a。
③利用氯化钠可以降低高级脂肪酸钠的溶解度,从而发生盐析,答案选B、c。
④乙酸乙酯不溶于水,而乙酸能和饱和碳酸钠溶液分液,所以除去乙酸乙酯中乙酸的试剂是A,方法是分液,答案选b。
(2)①羧基和酯基能和氢氧化钠溶液分液,所以答案选③④。
②醛基能发生银镜反应,所以能与银氨溶液反应产生银镜的是①④。
③醇羟基既能发生消去反应,又能发生酯化反应,所以答案选②。
④由于同一个碳原子上的氢原子是相同的,其次同一个碳原子所连接的所有甲基上的氢原子是相同的,再就是具有对称性结构的(类似于平面镜成像中物体和像的关系),所以核磁共振氢谱图中有3个吸收峰,面积比为3:2:1的是②④。
(3)①硝酸银能和氨水反应生成氢氧化银沉淀,反应的离子方程式是Ag++NH3·H2O=AgOH↓+NH4+。
②葡萄糖分子中含有醛基,能发生银镜反应,反应的化学方程式是GCHO+2Ag(NH3)2OH600)makesmallpic(this,600,1800);\' src=\"http://www_php168_com/91files/2016060723/yezpujmvlo1.png\" style=\"vertical-align:middle;\">GCOONH4+2Ag↓+3NH3+H2O。
点评:该题是高考中的常见题型和考点,属于中等难度的试题。试题贴近高考,综合性强,在注重对学生基础知识巩固与训练的同时,侧重对学生能力的培养与解题方法的指导和训练,旨在考查学生灵活运用基础知识解决实际问题的能力,有利于培养学生的逻辑推理能力和规范严谨的实验能力。该题的关键是记住常见官能团的结构、性质,然后结合结构简式和题意灵活运用即可。


本题难度:一般




微信搜索关注"91考试网"公众号,领30元,获取公务员事业编教师考试资料40G
【省市县地区导航】【考试题库导航】
 ★ 高考省级导航 ★ 
全国 A安徽 B北京 C重庆 F福建 G广东 广西 甘肃 贵州 H河南 河北 湖南 湖北 黑龙江 海南 J江苏 江西 吉林 L辽宁 N内蒙古 宁夏 Q青海 S山东 山西 陕西 四川 上海 T天津 X新疆 西藏 Y云南 Z浙江
 ★ 高考信息汇总 ★ 
 ★ 高考历年真题 ★ 
 ★ 高考历年真题 ★ 
 ★ 高考题库 ★ 
 ★ 高考题库 ★ 

电脑版  |  手机版  |  返回顶部