原因
结论
A.
乙烯和苯都能使溴水褪色
苯和乙烯分子都含有碳碳双键
B.
乙酸乙酯和乙烯一定条件下都能和水反应
两者属于同一类型的反应
C.
乙酸、乙醛和葡萄糖都能与新制和氢氧化铜反应
都同属于氧化反应
D.
乙烯能使溴的四氯化碳溶液和酸性高锰酸钾溶液褪色
两者的褪色本质是不相同的
参考答案:D
本题解析:
本题难度:一般
3、选择题 2005年中国防治禽流感药物研究取得重大突破,从中药材提取的金丝桃素对人感染的H5N1亚型禽流感家禽活体具有良好的治愈率。已知金丝桃素的结构简式如下

下列有关说法正确的是
[? ]
A.金丝桃素的分子式为C17H22O3N
B.金丝桃素能在NaOH溶液中加热反应得到两种芳香族化合物
C.金丝桃素能与浓硫酸和浓硝酸的混合液反应
D.在金属镍催化并加热下,1mol金丝桃素最多能与4molH2发生加成反应
参考答案:C
本题解析:
本题难度:一般
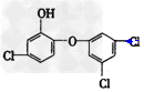
4、选择题 据报道,某牙膏中含有的消毒剂三氯生,遇含氯的自来水会生成哥罗芳(三氯甲烷),哥罗芳能导致肝病,甚至癌症。已知三氯生的结构简式如图所示,下列有关说法中不正确的是?

[? ?]
A、三氯生能与NaOH反应?
B、三氯生是一种芳香族化合物
C、三氯生与NaHCO3作用可产生CO2气体?
D、哥罗芳没有同分异构体
参考答案:C
本题解析:
本题难度:一般
5、选择题 下列有机物在酸性催化条件下发生水解反应,生成两种不同的有机物,且这两种有机物的相对分子质量相等,该有机物是
A.戊酸丁酯
B.葡萄糖
C.丙酸丙酯
D.甲酸乙酯
参考答案:D
本题解析:A、戊酸丁酯酸性条件下水解为戊酸和丁醇,相对分子质量不等,错误;B、葡萄糖是单糖不水解,错误;C、丙酸丙酯酸性水解的产物是丙酸、丙醇,相对分子质量不等,错误;D、甲酸乙酯酸性水解的产物是甲酸、乙醇,二者的相对分子质量都为46,正确,答案选D。
本题难度:一般