时间:2017-11-11 02:09:05
1、选择题 防治禽流感病毒是目前人类面临的一个重大课题。八角茴香属于草本植物,是我国民间常用做烹凋的香料。医学研究成果显示.从八角茴香中可提取到莽草酸,莽草酸有抗炎、镇痛作用,也是合成对禽流感病毒有一定抑制作用的一种药物“达菲”的前体。莽草酸的结构简式为
下列关于莽草酸的说法正确的是
[? ]
A.莽草酸的分子式为C7H4O5
B.莽草酸的分子之间可能发生酯化反应
C.莽草酸分子结构中含有苯环
D.莽草酸不能使溴水褪色
参考答案:B
本题解析:
本题难度:简单
2、选择题 莽草酸是一种合成治疗禽流感药物达菲的原料,鞣酸存在于苹果、生石榴等植物中。下列关于这两种有机化合物的说法正确的是
[? ]
A.莽草酸不能与溴水反应
B.两种酸遇三氯化铁溶液都显色
C.鞣酸分子与莽草酸分子相比多了两个碳碳双键
D.等物质的量的两种酸与足量金属钠反应产生氢气的量相同
参考答案:D
本题解析:
本题难度:一般
3、填空题 (8分)某芳香族酯类化合物甲的分子式为C14H10O5,1mol甲在酸性条件下水解后只生成一种产物乙,其物质的量为2mol,乙分子内苯环上只有两个邻位取代基。回答下列问题:
(1)写出有机物乙的结构简式?。
(2)写出有机物甲和足量NaOH溶液反应的化学方程式?。
(3)按下列要求写出和乙有不同
取代基的乙的同分异构体
①苯环上有两个取代基?。(写一种即可)
②苯环上有三个取代基?。(写一种即可)
参考答案:

本题解析:略
本题难度:一般
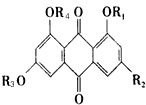
4、选择题 硬毛中华猕猴桃中含有下列几种成分
①R1= R4 =H,R2= R3= CH3
②Rl= R3 =H,R2= R4= CH3
③R1= R3= R4 =H,R2= CH2OH
④R1= R3 =R4=H,R2= COOH
根据结构,下列推断错误的是
[? ]
A.其中酸性最大的是④
B.①②③④遇到FeCl3溶液都会显紫色
C.①和②互为同分异构体
D.②的化学式是C16H16O5
参考答案:D
本题解析:
本题难度:一般
5、选择题 2005年,全球发生了禽流感。我国科学家发现金丝桃素对高致病性禽流感病毒杀灭效果良好,某种金丝桃素的结构式如下所示:下列是有关金丝桃素说法: 
①属于烃的衍生物,燃烧只产生CO2和H2O
②可以发生取代、加成、酯化、消去等反应
③分子式为C17H23NO3,苯环上的一氯取代物有3种
④1 mol该物质最多能和6mol H2发生加成反应
其中错误的是:
[? ]
A.①和④
B.②和③
C.①和③
D.②和④
参考答案:A
本题解析:
本题难度:一般