时间:2017-11-05 23:54:06
1、填空题 (9分) 已知>C=C<可被酸性高锰酸钾溶液氧化成二元醇,如:
现以甲基丙烯为原料合成有机玻璃和环状化合物E(C8H12O4):
(1) 试写出下列的结构简式:
B ______________ C _____________ E _______________
(2) 反应方程式:
B → E ________________?_____________________________;
B → C __________________?___________________________;
C → D ________________?_____________________________。
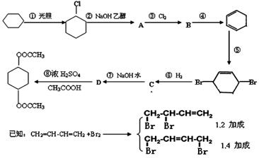
2、填空题 二乙酸-1,4-环己二醇酯可通过下列路线合成:
(1)①的反应类型________, ②的反应类型________,
⑤的反应类型________, ⑦的反应类型________。
(2)试写出由
的所有反应的化学方程式:
⑤______________________________________________________________,
⑥? ?,
⑦ ? ?,
⑧ ? ?。
3、填空题 (8分)由丙烯经下列反应可得到F、G两种高分子化合物,它们都是常用的塑料。
?
(1)聚合物F的结构简式是?。
(2)D的结构简式是?。
(3)B转化为C的化学方程式是?
(4)在一定条件下,两分子E能脱去两分子水形成一种六元环状化合物,该化合物的结构简式是?。
4、实验题 1-乙氧基萘是一种无色液体,密度比水大,不溶于水,易溶于醇、醚,熔点5.5 ℃,沸点267.4 ℃。1-乙氧基萘常用作香料,也可作为合成其他香料的原料。实验室制备1-乙氧基萘的过程如下:
+C2H5OH
+H2O
1-萘酚?
?1-乙氧基萘
⑴将72 g 1-萘酚溶于100 mL无水乙醇中,加入5 mL浓硫酸混合。将混合液置于如图所示的容器中加热充分反应。实验中使用过量乙醇的原因是? ▲?。烧瓶上连接长直玻璃管的主要作用是? ▲?。
⑵反应结束,将烧瓶中的液体倒入冷水中,经处理得到有机层。为提纯产物有以下四步操作: ①蒸馏②水洗并分液 ③用10%的NaOH溶液碱洗并分液 ④用无水氯化钙干燥并过滤。正确的顺序是? ▲?。
A.③②④①?B.①②③④?C.②①③④
⑶蒸馏时所用的玻璃仪器除了酒精灯、冷凝管、接收器、锥形瓶外还有? ▲?。
⑷实验测得1-乙氧基萘的产量与反应时间、温度的变化如图所示,时间延长、温度升高1-乙氧基萘的产量下降的原因可能是? ▲?、? ▲?。
⑸用金属钠可检验1-乙氧基萘是否纯净,简述实验现象与结论:? ▲?。
5、填空题 (15分)有机化合物A只由C、H两种元素组成且能使溴水褪色,其产量可以用来衡量一个国家石油化学工业的发展水平。A、B、C、D、E有下图所示的关系。
(1)写出些列物质的结构简式:
A ??C ??E?
(2) 完成方程式并注明反应类型
A→B ?;?
B→C ?;?
C→D ?;?
生成E?;?