时间:2017-11-05 22:39:37
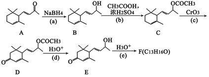
1、填空题 (10分)某重要的香料F其合成路线有多条,其中一条合成路线如下:
(1)在(a)~(e)的反应中,属于取代反应的是?。(填编号)
(2)化合物F的结构简式是?。
(3)在上述转化过程中,步骤(b)的目的是?。
(4)写出同时满足下列四个条件的D的两种同分异构体的结构简式?。
A.该物质属于芳香族化合物
B.该分子中有4种不同类型的氢原子
C.1mol该物质最多可消耗2molNaOH
D.该物质能发生银镜反应
2、填空题 (9分)有以下一系列反应,最终产物为草酸。已知B的相对分子质量比A大79。
A
B
?C
?D
E
F
乙二酸(也叫草酸,分子式为C2H2O4)
(1)B→C的转化条件是??(1分)
(2)写出下列转化的化学方程式 (方程式每个2分,共8分)
① A→B ?;
② D→E ?;
③ E→F?;
④E与乙二酸在某条件下1:1反应生成有机环状物?;
3、简答题 已知:
①浓磷酸具有吸水性,在加热条件下也难与碳、铜等单质反应.
②生成环己烯的反应:
③相应物质参数表:
有机物
密度/
g?cm-3
熔点/
℃
沸点/
℃
溶解性
环己醇
0.96
25
161
能溶于水
环己烯
0.81
-103
83
难溶于水
某化学小组用如图所示装置以环己醇为原料制备环己烯,其步骤如下:
步骤Ⅰ.制备粗品
(1)将12.5mL环己醇加入上图反应装置中的圆底烧瓶A内,再加入2mL质量分数为85%的浓磷酸,摇匀后放入碎瓷片,缓慢加热至反应完全,在锥形瓶D内得到环己烯粗品.其中仪器B的作用是______;此反应中不加浓硫酸的原因是______.
(2)反应装置的水浴温度控制在85℃左右,而不是130℃,是因为______的缘故.
步骤Ⅱ.制备精品
(3)为了提纯环己烯,除去粗品中的环己醇、少量酸和水等杂质,采用如下操作:
①加入饱和食盐水,再振荡、静置、分层、分液,其中食盐可起______作用.
②分液后再用______(填序号)试剂洗涤.
A.KMnO4溶液?B.稀H2SO4?C.Na2CO3溶液
③再向粗品中加入无水氯化钙后蒸馏.加入无水氯化钙目的是:______.
(4)以下区分环己烯精品和粗品的方法,合理的是:______(填序号).
A.用酸性高锰酸钾溶液?B.用金属钠?C.测定沸点.
4、推断题 图中X是一种具有水果香味的合成香料,A是直链有机物,E与FeCl3溶液作用显紫色。 
请根据上述信息回答:
(1)H中含氧官能团的名称是__________,B→I的反应类型为__________。
(2)只用一种试剂鉴别D、E、H,该试剂是__________。
(3)H与J互为同分异构体,J在酸性条件下水解有乙酸生成,J的结构简式为__________。
(4)D和F反应生成X的化学方程式为____________________。
5、选择题 已知有一反应过程如下:
根据图示,a、b、c可分别表示为(?)
A.溴乙烷、氢氧化钠、乙醇
B.蔗糖、酶、葡萄糖
C.乙酸乙酯、硫酸、乙酸
D.麦芽糖、酶、葡萄糖