时间:2017-11-05 22:38:54
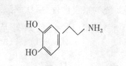
1、填空题 (14分)快乐是什么?医学专家通过实验发现:在大脑的相应部位“奖赏中心”,给予柔和的电击.便会处于似乎极度快乐的状态。人们已经将“奖赏中心”个部分的脑电图
绘制出来,并认为,在各区域之间传递信息的化学物质是多巴胺,所以“奖赏中心
”又称为多巴胺系统。多巴胺结构为:
(1)多巴胺分子式:?。
(2)多巴胺可由香兰素合成,合成过程表示如下:
反应①属于——反应,该反应的化学方程式是:?。
(3)A的结构简式是:?,A中含有的官能团是:?。
(4)请写出符合下列要求的香兰素的同分异构体
①苯环上只有两个互为对位的取代基;
②可以与FeCl3溶液发生显色反应,但不可发生银镜反应;
③可以发生水解反应生成两种化合物。
?。
2、推断题 化合物H是一种香料,存在于金橘中,可用如下路线合成
已知:
回答下列问题:
(1)11.2?L(标准状况)的烃A在氧气中充分燃烧可以产生88?g?CO2和45?g?H2O.A的分子式是________________;
(2)B和C均为一氯代烃,它们的名称(系统命名)分别为____________、________________.
(3)在催化剂存在下1?mol?F与2?mol?H2反应,生成3-?苯基-?1-?丙醇.F的结构简式是_________________________________________;
(4)反应①的反应类型是_____________________________;
(5)反应②的化学方程式为__________________________________;
(6)写出所有与G具有相同官能团的G的芳香类同分异构体的结构简式:_____________________________________.
3、填空题 怎样以H2O、H218O、空气、乙烯为原料制取
,写出有关反应的化学方程式。已知:2CH3CHO+O2
2CH3COOH。
_________________________________________
4、选择题 食品香精菠萝酯的生产路线(反应条件略去)如下:下列叙述错误的是

[? ]
5、填空题 粘合剂M的合成路线如下图所示:
完成下列填空:
(1)写出A和B的结构简式。A ,B 。
(2)写出反应条件:反应② ;反应⑤ 。
(3)反应③和⑤的目的是___________________________________________。
(4)C的具有相同官能团的同分异构体共有 种。
(5)写出D在碱性条件下水解的反应方程式:___________________________
__________________________________________________________________