时间:2017-09-25 19:09:39
1、填空题 (12分)?已知某烃的含氧衍生物A能发生如下所示的变化。在相同条件下,A的密度是H2的28倍,其中碳和氢元素的质量分数之和为71.4%,C能使溴的四氯化碳溶液褪色,H的化学式为C9H12O4。
试回答下列问题:
(1)A中含氧官能团的名称??;C的结构简式?
?。
(2)D可能发生的反应为?(填编号);
①酯化反应?②加成反应?③消去反应?④加聚反应
(3)写出下列反应的方程式
①A与银氨溶
液:?;
②G—H:?;
(4)某芳香族化合物M,与A含有相同类型和数目的官能团,且相对分子质量比A大76。则:
①M的化学式为?;
②已知M的同分异构体为芳香族化合物,不与FeCl3溶液发生显色反应,但能与Na反应,且官能团不直接相连。则M的同分异构体为(写1种):?。
2、选择题 甲基叔丁基醚是一种难溶于水的物质,可用作无铅汽油的添加剂。用以下2种方案可制得甲基叔丁基醚:
方案甲:
![]() |
(? )3、填空题 DEHP是一种普遍用于塑胶材料的塑化剂,其结构简式如图所示。



4、选择题 某有机物X(C4H6O5)广泛存在于许多水果内,尤以苹果、葡萄、西瓜、山楂为多,该化合物具有如下性质:①X与金属钠反应产生氢气;②X与醇或羧酸在浓硫酸并加热的条件下,均生成有香味的产物;③X分子内脱水的产物(不是环状化合物)可和溴水发生加成反应。根据上述信息,对X的结构判断正确的是(?)
A.X中肯定有碳碳双键
B.X中肯定有—COOR官能团
C.X中一定有羧基,不可能有羟基
D.X中可能既有羧基又有羟基
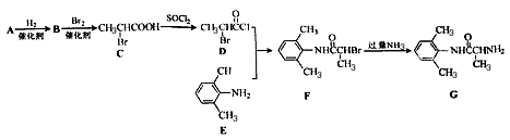
5、填空题 室安卡因(G)是一种抗心率天常药物,可由下列路线合成;
(1)已知A是
的单体,则A中含有的官能团是________(写名称)。B的结构简式是________________。
(2)C的名称(系统命名)是____________,C与足量NaOH醇溶液共热时反应的化学方程式是____________________。
(3)X是E的同分异构题,X分子中含有苯环,且苯环上一氯代物只有两种,则X所有可能的结构简式有
、______________、_______________、________________。
(4)F→G的反应类型是_________________________。
(5)下列关于室安卡因(G)的说法正确的是_____________。
a.能发生加成反应
b.能使酸性高锰酸钾溶液褪色
c.能与盐酸反应生成盐
d..属于氨基酸