时间:2017-09-25 17:17:46
1、填空题 (9分) 已知>C=C<可被酸性高锰酸钾溶液氧化成二元醇,如:
现以甲基丙烯为原料合成有机玻璃和环状化合物E(C8H12O4):
(1) 试写出下列的结构简式:
B ______________ C _____________ E _______________
(2) 反应方程式:
B → E ________________?_____________________________;
B → C __________________?___________________________;
C → D ________________?_____________________________。
参考答案:(9分)
(1)
(2)


本题解析:略
本题难度:一般
2、填空题 【化学一一选修:有机化学基础】(11分)某有机物A(C4H6O5)广泛存在于许多水果内,尤以苹果、葡萄、西瓜、山楂内为多,是一种常用的食品添加剂。该化合物具有如下性质:
(i) 在25℃时,电离平衡常数K1=3.9×10-4,K2=5.5×10-6
(ii) A + RCOOH(或ROH)
?有香味的产物
(iii) 1 mol A?慢慢产生1.5 mol气体
(iv) 核磁共振氢谱表明A分子中有5种不同化学环境的氢原子
与A相关的反应框图如下:
(1)根据化合物A的性质,对A的结构可作出的判断是_______。
(a)肯定有碳碳双键?(b)有两个羧基
(c)肯定有羟基?(d)有-COOR官能团
(2)写出A、F的结构简式:
A:___________________________、? F:___________________________。
(3)写出A→B、B→E的反应类型:A→B_______________、 B→E_______________。
(4)写出下列反应的反应条件:
E→F第①步反应___________________。
(5)在催化剂作用下,B与乙二醇可发生缩聚反应,生成的高分子化合物用于制造玻璃钢。写出该反应的化学方程式:
___________________________________________________。
(6)写出与A具有相同官能团的A的同分异构体的结构简式:
_________________________________________________。
参考答案:(1)bc (2分)
本题解析:略
本题难度:一般
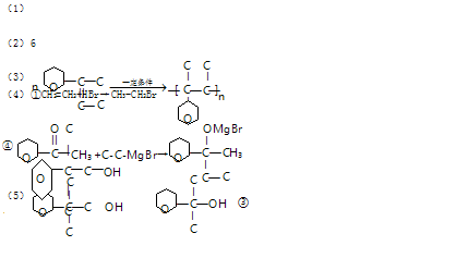
3、推断题 物质A有如下转化
(1)A的分子式为________,含有的官能团为________(写名称).
(2)A→C的化学方程式为__________________________,反应类型为________.
(3)B的同分异构G、H能与浓溴水反应,且结构中均含有一个-CH3,1?mol?H消耗3?mol?Br2,1?mol?G消耗2?mol?Br2,H的结构简式______________,G的结构简式_______________.
(4)已知在一定条件?下R1CH=CHR2→R1CHO+?R2CHO,A在一定条件下氧化生成羧酸X、Y?,X的分子式为C7H6O2,它是芳香族化合物,Y是一种还原性的二元羧酸.写出两类含有醛基X的同分异构体______________,?________________.
参考答案:(1)C9H8O2;碳碳双键、醛基、酚羟基
(2)
;氧化反应
(3)
;
(4)
本题解析:
本题难度:一般
4、推断题 已知:
③某芳香烃A的蒸汽密度是同温同压下氢气密度的59倍,仅连一个含有甲基的支链。下图表示A~K的转化关系,其中K是高分子化合物。
回答下列问题:
(1)A的结构简式:____________C中官能团的名称:_____________。?
(2)G→J的反应类型:______________________,F也可以经一步反应后酸化生成J,其反应条件是:___________________。
(3)写出由G可制得含三个六元环的有机物的结构简式:_________________。?
(4)写出下列化学方程式
D与新制Cu(OH)2反应:____________________。 J→K:_________________________?。
(5)E的同分异构体有多种,则其中属于苯的三取代物,满足结构为
,又能发生银镜反应,遇FeCl3溶液又能呈紫色的同分异构体有_________种。
参考答案:(1)
;羟基
(2)消去反应;NaOH?醇溶液、加热?
(3)
或
(4)
;
(5)2
本题解析:
本题难度:一般
5、填空题 (12分)已知苯酚能跟碳酸钠溶液反应而溶解于碳酸钠溶液
中。在下图所示的转化关系中,括号内编号①—④表示转化所需化学试剂:
(1)用化学式填空:
①是?、
②是?、③是?;④是?、⑤是?。
(2)A的结构简式是?。
参考答案:(1)①NaHCO3?②NaOH或Na2CO3?③Na?④CO2(H2O)?⑤HCl
(2)
?(各2分)
本题解析:略
本题难度:简单