时间:2017-09-25 16:20:39
1、填空题 A、B、C、D均为中学化学常见物质,且含有一种相同的元素,它们之间有如下转化关系,其中A是单质。
(1)若A是一种淡黄色固体,B是气态氢化物,C、D为气态氧化物,且C是形成酸雨的主要物质。请写出C与B反应的化学方程式_________________________________。
(2)若B是气态氢化物,C、D为气态氧化物,且C、D是形成光化学烟雾的一个重要原因。请写出反应③的化学方程式____________________________________。实验室中检验气体B存在用的试剂或用品为________________。
(3)若B、D既能溶于强酸溶液,又能溶于强碱溶液,反应②③均需要强碱性溶液,反应④可以通过滴加少量稀盐酸实现。据此判断A元素在周期表中的位置是_________________。请写出②的离子方程式_____________________________________________________________________________。
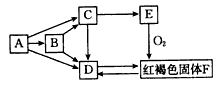
(4)若C是一种淡黄色固体,常用于吸吸面具中的供氧剂,D是一种强碱。写出反应④的离子方程式
_____________________________________________________________________________________。
参考答案:(1)2H2S+SO2=3S+2H2O(2分)
(2)4NH3+5O2
4NO+6H2O(2分) 湿润的红色石蕊试纸(2分)
(3)第三周期第ⅢA族(2分)2Al+2OH-+6H2O=[Al(OH)4]-+3H2↑
(4)2Na2O2+2H2O=4Na++4OH-+O2↑(2分)
本题解析:(1)若A是一种淡黄色固体,B是气态氢化物,C、D为气态氧化物,且C是形成酸雨的主要物质,则符合条件的应该是A是S,B是H2S,C是SO2,D是SO3。H2S具有还原性,SO2具有氧化性,二者可以发生氧化还原反应生成单质硫和水,反应的化学方程式为2H2S+SO2=3S+2H2O。
(2)若B是气态氢化物,C、D为气态氧化物,且C、D是形成光化学烟雾的一个重要原因,这说明是氮元素及其化合物的转化,因此A是氮气,B是氨气,C是NO,D是NO2。氨气发生催化氧化生成NO和水,所以反应③的化学方程式为4NH3+5O2
4NO+6H2O。氨气是碱性气体能使湿润的红色石蕊试纸变蓝色,所以可以用湿润的红色石蕊试纸检验氨气。
(3)若B、D既能溶于强酸溶液,又能溶于强碱溶液,反应②③均需要强碱性溶液,反应④可以通过滴加少量稀盐酸实现,这说明该转化是铝及其化合物的转化,因此符合条件的是A是Al,B是氧化铝,C是偏铝酸钠,D是氢氧化铝。Al元素在周期表中的位置是第三周期第ⅢA族。金属铝与氢氧化钠溶液反应生成偏铝酸钠和氢气,因此②的离子方程式为2Al+2OH-+6H2O=[Al(OH)4]-+3H2↑。
(4)若C是一种淡黄色固体,常用于吸吸面具中的供氧剂,D是一种强碱,因此C是过氧化钠,D是氢氧化钠。过氧化钠溶于水即生成氢氧化钠和氧气,所以反应④的离子方程式为2Na2O2+2H2O=4Na++4OH-+O2↑。
本题难度:一般
2、填空题 下图中,甲、乙、丙、丁、戊分别表示中学化学常见的一种单质,其他字母分别表示一种化合物。反应①的原理在工业生产例如冶金工业上有重要的应用。
请按要求填空:
(1)甲的原子结构示意图是?,丁的电子式是?,沉淀I的化学式是?。
(2)反应①的化学方程式是?。
反应②的离子方程式是?。
参考答案:(1)
?(2分)
(2分)? Fe(OH)3
(2)3Fe3O4+8Al
9Fe+4Al2O3(少条件扣1分)? (3 )A13++3AlO2-+6H2O=4Al(OH)3↓
本题解析:本题是无机框图题,关键是尊重突破点。反应①的原理在工业生产例如冶金工业上有重要的应用,与该反应应该是铝热反应,则甲是铝,B是氧化铝。氧化铝是两性氧化物,和盐酸反应生成氯化铝和水,和氢氧化钠反应生成偏铝酸钠和水。即C是氯化铝,D是水,E是偏铝酸钠。在溶液中氯化铝和偏铝酸钠反应生成氢氧化铝沉淀,即F是氢氧化铝。根据乙的转化可判断,乙是变价的金属铁,所以丁是氯气,G是氯化铁,H是氯化亚铁,I是氢氧化铁。高温下铁和水蒸气反应生成四氧化三铁和氢气,即A是四氧化三铁,戊是氢气,则丙是氧气。
本题难度:一般
3、填空题 (8分)【有机化学基础】
有机物A有如下变化,其中只有B1既能使溴水褪色,又能和Na2CO3溶液反应生成CO2。
(l)C1中含有的官能团有____________ 。
(2)已知CH2=CH—OH不稳定,写出B1既可以发生银镜反应,又可以与金属钠发生反应的所有链状同分异构体的结构筒式:_______________________
(3)写出A与C2的结构简式:
A:_____________ ;C2:__________________ 。
(4)写出反应①与③的反应类型:
①_____________ 反应;③____________反应。
(5)写出反应②的化学方程式_____________________ 。
参考答案:(1)羟基、溴原子
?
(4)取代(或水解) 中和
本题解析:C2是A在碱性条件下的水解产物,C2氧化生成
说明C2中不含Na元素,氧化产物中的一COOH是由一CH2OH氧化而来的,那么C2是
。C1中含有一Br(能发生反应⑦,即消去HBr),C1与NaOH溶液反应生成C2,则C1是
,它氧化生成的D是
,再发生消去反应生成的E是
经酸化而得到的B1是
,则A是
。
本题难度:一般
4、推断题 按下图要求写出下列两个反应的化学方程式,属于离子反应的写出离子方程式。 
①B→C+D_______________
②F→D______________
参考答案:①Fe3O4+8H+=Fe2++2Fe3++4H2O
②Fe(OH)3+3H+=Fe3++3H2O
本题解析:
本题难度:一般
5、填空题 下图转化关系中,A、B、C、D、E都是短周期元素的单质,在常温常压下A是固体,其余都是气体,且C呈黄绿色。化合物H和I两种气体相遇时产生白烟。化合物G的焰色反应为黄色。反应①和②均在溶液中进行。
请按要求回答下列问题。
(1)写出下列物质的化学式D?、F?
(2)反应①的离子方程式为?。
(3)向K溶液中加入硝酸酸化的硝酸银溶液,反应的现象为?。
(4)将少量单质C通入盛有淀粉KI溶液的试管中,液体变为蓝色。该反应的离子方程式为?。这说明单质C的氧化性?于单质碘(填“强”或“弱”)。
参考答案:
本题解析:略
本题难度:简单