时间:2017-09-25 16:18:29
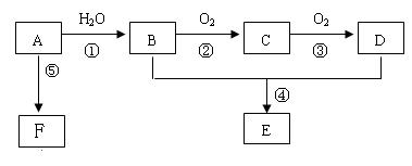
1、填空题 (9分)如图每一方框中的字母代表一种反应物或生成物,产物J是含A金属元素的胶状白色沉淀,I为NaCl溶液,D是淡黄色固体单质。试填写下列空白:
(1)L的化学式为:________,F的化学式为:________。
(2)J受热分解反应的化学方程式为:________________________________________
________________________________________________________________________。
(3)H与G之间反应的化学方程式为:________________________________________
________________________________________________________________________。
参考答案:(1)H2O? Na2S? (2)2Al(OH)3Al2O3+3H2O (3)2H2S+SO2===3S+2H2O
本题解析:D是淡黄色固体单质,应为硫;J是含金属元素的白色胶状沉淀,应为Al(OH)3,则A为Al;I为NaCl,则F应为Na2S,E为AlCl3,L为H2O。Na2S与AlCl3发生双水解反应生成NaCl、Al(OH)3和H2S。D(S)在空气中燃烧生成G(SO2),G与H(H2S)反应又生成D(S)和L(H2O)。
本题难度:一般
2、选择题 下图所涉及的物质均为中学化学中的常见物
质,它们存在如下转化关系:
其中(1)C、D、E、F都为单质,其余为化合物(2)C、D、E 在常温下为气体,G为液体
(3)A、I 两种化合物的焰色反应均为紫色
(4)反应①②的一些生成物已经略去,有些反应的条件未列出
(1)写出有关物质的化学式:
A?, I?。
(2)指出MnO2在相关反应中的作用:反应 ① 中是?剂,反应 ② 中是?剂。
(3)写出反应②化学方程式,并标出电子转移的方向和数目? ______?。
(4)写出反应③的离子方程式_______
_______________________
参考答案:(1) KClO3 ,KOH
(2)催化剂,氧化剂
(3)略
(4)略
本题解析:略
本题难度:简单
3、推断题 现有3种化合物A、B、C均含短周期元素R,其转化关系如下图所示。 
(1)若A由第三周期2种元素组成。常温下,0.1 mol/L X 溶液的pH=13,则R在周期表中的位置是______,X中阴离子的电子式是________,B转化为C的离子方程式是____________________。
(2)若常温下A、B、C、X均为气态物质,1 mol A中含有共价键的数目约为1. 806×1024,X为单质,A与X 反应生成B的化学方程式是_________________;在 一定条件下,A与C反应可消除C对大气的污染,该反应的化学方程式是___________________。
参考答案:(1)第三周期ⅢA族;Al(OH)3+OH-=AlO2-+2H2O;
(2)4NH3+5O2
4NO+6H2O;8NH3+6NO2
7N2+12H2O
本题解析:
本题难度:一般
4、填空题 (15分)已知A为一种气态烃,其相对分子质量小于30,1molA完全燃烧生成的CO2和H2O物质的量之比为1:1,中间产物C跟葡萄糖一样也能跟新制的Cu(OH)2发生反应产生砖红色沉淀,C也能发生银镜反应,E有香味,F为一种聚合物。(反应条件未写出)。
请回答下列问题:
(1)区别A和甲烷可以采用的简单方法(含操作、现象和结论)有:__________________
?;
(2)A生成B的反应类型为_______________,C的结构简式为:______________________?
B、D中官能团的名称分别是_____________、______________;
(3)物质B可以被直接氧化为D,需要加入的试剂
是?。
(4)反应④的化学方程式
为:?
?_________
反应类型:??。
(5)在实验室中获得的E物质往往是含有B物质和D物质的粗产品,要想获得较为纯净的E物质可以加入的试剂是
?,相关分离操作方法是?
__(填名称)。
(6)反应⑤的化学方程式为:____________________________________________________
反应类型:??。
参考答案:(15分)(1)将气体分别通入高锰酸钾溶液(或溴水),能使溶液褪色的是乙烯,另一为甲烷(或者将气体分别点燃,观察火焰颜色,明亮且有少量黑烟的是乙烯,淡蓝色的是甲烷)(其他合理答案也给分)(2分)
(2)加成反应、CH3CHO、羟基、羧基(各1分)(3)酸性KMnO4或K2Cr2O7溶液(1分)
(4)①CH3COOH+ CH3CH2
OH
CH3COOCH2CH3?+ H2O (2分)?酯化反应或取代反应(1分)?(5)饱和Na2CO3溶液?分
液?(每空各1分)
(6)
(2分)?加聚反应(1分)
本题解析:略
本题难度:一般
5、填空题 (11分)A、B、C、D均为中学化学所学的常见物质,且均含有同一种元素,它们之间的转化关系如图所示(反应条件及其他产物已略去):请填写下列空白:
(1)若A为气体单质,则A为?,D→B的离子方程式为?
(2)若A为固体单质,则A为?,A主要用于制造?(任写两种)
(3)若A为气体化合物,其水溶液能使湿润的红色石蕊试纸变蓝,则实验室制取A的化学方程式为?。
(4)若A为气体化合物,其水溶液能使湿润的蓝色石蕊试纸变红,则A为?,A与B反应的化学方程式为?。
参考答案:(11分)
(1)N2?3Cu+8H++2NO3-=3Cu2++2NO↑+4H2O (3分)
(2)S?火药、硫酸(合理即给分)(3分)
(3)Ca(OH)2+2NH4Cl
2NH3↑+ CaCl2+2H2O?(2分)
(4)H2S? 2H2S+SO2=3S↓+2H2O(3分)
本题解析:略
本题难度:一般