时间:2017-09-23 23:50:44
1、简答题 从樟科植物枝叶提取的精油中含有甲、乙两种成分:
(1)①甲和乙中含氧官能团的名称分别为______和______.
②请写出甲的一种能同时满足下列3个条件的同分异构体的结构简式______.
a.苯环上有两个不同的取代基
b.能与Br2的CCl4溶液发生加成反应
c.遇FeCl3溶液显呈现紫色
(2)由甲转化为乙的过程为(已略去无关产物):
反应I的反应类型为______,Y的结构简式______.
(3)1mol乙最多可与______molH2发生加成反应.
(4)写出乙与新制Cu(OH)2悬浊液反应的化学方程式______.
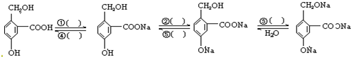
2、推断题 已知一个碳原子上连有两个羟基时,易发生下列转化:

请根据上图回答:
(1)E中含有的官能团的名称是____________;反应4中稀硫酸的作用是_____________,反应类型是__________
(2)反应①的化学方程式为______________
(3)已知B的相对分子质量为162,其完全燃烧的产物中n(CO2):n?(H2O)=2:1,则B的分子式为__________。
(4)F是高分子光阻剂生产中的主要原料。F具有如下特点:
①能跟FeCl3溶液发生显色反应;
②能发生加聚反应;
③苯环上的一氯代物只有两种。
F在一定条件下发生加聚反应的化学方程式为___________________________。
(5)化合物G是F的同分异构体,属于芳香族化合物,能发生银镜反应。G有_________种结构,其中核磁共振氢谱有4种峰,且峰面积比为3:2:2:1的同分异构体结构简式为_________?。
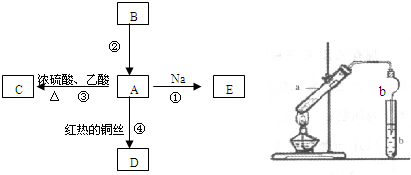
3、简答题 A是化学实验室中常见的有机物,它易溶于水并有特殊香味;B的产量可衡量一个国家石油化工发展的水平.有关物质的转化关系如图所示:
(1)写出B的结构简式______;
(2)写出下列反应的化学方程式
反应①:______
反应④:______
(3)实验室利用反应③制取C,常用右图装置:
①a试管中的主要化学反应的化学方程式为______,反应类型是______.
②在实验中球形干燥管除起冷凝作用外,另一个重要作用是______.
③试管b中观察到的现象是______.
4、简答题 为实现以下各步的转化,请在括号中填入适当的试剂的化学式.
5、填空题 (6分)苹果醋(ACV)是一种由苹果发酵而成的酸性饮品,具有解毒.降脂等药效,主要酸性物质为苹果酸。苹果酸在分离提纯后的化学分析如下:①相对分子质量不超过150,完全燃烧后只生成CO2和H2O,分子中C.H质量分数分别为w(C)=35.82%.w(H)=4.48%;②1 mol该酸与足量的NaHCO3反应放出44.8 L CO2,与足量的Na反应放出33.6 L H2(气体体积均已折算为标准状况);③该分子中存在四种化学环境不同的碳原子,氢原子也处于四种不同的化学环境。回答下列问题:
(1)苹果酸的分子式为?,分子中有________个羟基。
(2)写出苹果酸的结构简式____________________________。