时间:2017-09-23 23:31:29
1、填空题 1928年,狄尔斯和阿尔德在研究1,3-丁二烯的性质时发现如下反应: 
回答下列问题:
(1)下列能发生双烯合成反应的有机物是___________(填写序号);
a.
b.
c.
d.
e.
(2)工业上通常以甲醛、乙炔为原料制取1,3-丁二烯,生成流程为:
(已知CH3CHO+H2→CH3CH2OH)→HOCH2C≡CCH2OHCH2=CHCH=CH2
①上述流程中甲醛和乙炔的反应类型是________;
②Y和X是同一系列有机物,两者互为同分异构体,Y能氧化生成一元醛。则Y的结构可能有 ____种;
(3)以CH2=CHCH=CH2、X和HOCH2C≡CCH2OH为原料,合成高分子化合物M的线路如下(羧酸在醇溶液中几乎不和NaOH反应): 
①设置反应①的目的是____;
②写出下列反应的化学方程式:B→C ____________。
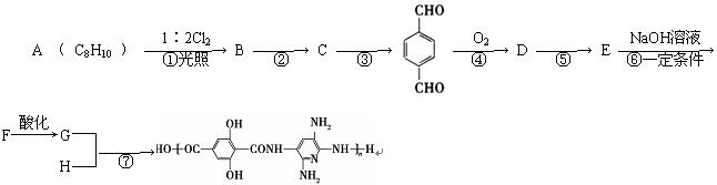
2、推断题 已知X是一种具有果香味的合成香料,下图为合成X的某种流程。E是生活中常见的一种有机物,碳、氢元素的质量分数分别为52.17%、13. 04%,其余为氧元素,质谱分析得知其相对分子质量为46,核磁共振氢谱显示其有三种氢原子,且个数比为1:2:3。 
请根据以上信息,回答下列问题:
(1)A分子中官能团的名称是________,E的结构简式是________。
(2)D→E的化学反应类型为________反应。
(3)上述A、B、C、D、E、X六种物质中,互为同系物的是________
(4)C的一种同分异构体F可以发生水解反应和银镜反应,则F的结构简式为____________。
(5)反应C+E→X的化学方程式为_______________________
3、推断题 乙基香草醛(
)是食品添加剂的增香原料,其香味比香草醛更加浓郁。
(1)写出乙基香草醛分子中两种含氧官能团的名称_______________________。
(2)乙基香草醛的同分异构体A是一种有机酸,A可发生以下变化
提示:①RCH2OH
RCHO;
②与苯环直接相连的碳原子上有氢时,此碳原子才可被酸性KMnO4溶液氧化为羧基。
(a)由A→C的反应属于_______________(填反应类型)。
(b)写出A的结构简式________________________。
(3)乙基香草醛的另一种同分异构体D(
)是一种医药中间体。请设计合理方案用茴香醛
(
)合成D(其他原料自选,用反应流程图表示,并注明必要的反应条件)。 
_______________________________
4、选择题 丙醛和另一种组成为CnH2nO的物质X的混合物3.00g,与足量的银氨溶液作用后析出10.8g银,则混合物中所含X不可能是( )
A.甲基丙醛
B.乙醛
C.丙酮
D.丁醛
5、填空题 2,6-二氯苯胺是重要的医药中间体,医药上纯度要求99.5%以上,因此不宜用苯胺直接氯化法来制备,以下是2,6-二氯苯胺的一种合成路线。

有多种含苯环且与其取代基相同的同分异构体,试写出其中任意三种同分异构体的结构简式___、______、_____。