时间:2017-09-23 23:21:18
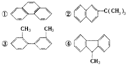
1、选择题 下列分子中的14个碳原子不可能处在同一平面上的是
[? ]

参考答案:D
本题解析:
本题难度:简单
2、选择题 经检验,“毒豆芽”中含有一种动物用药恩诺沙星,其分子结构如图所示,下列有关恩诺沙星说法不正确的是( )
A.不溶于水,微溶于甲醇,可溶于酸和碱
B.分子式为C19H22FN3O3
C.该物质能发生酯化、加成、氧化、硝化、缩聚反应
D.该物质的一氯代物共有9种
参考答案:A.该有机物含有羧基,可与碱反应生成盐,含有氨基,可与酸反应,可溶于酸和碱,故A正确;
B.由有机物结构简式可知,该有机物分子式为C19H22FN3O3,故B正确;
C.有机物中N原子上不含氢原子,不能发生缩聚反应,故C错误;
D.该有机物含有9种不同的氢原子,则一氯代物共有9种,故D正确.
故选C.
本题解析:
本题难度:一般
3、选择题 维生素C可用于预防和治疗坏血病等,其结构式如图所示.下列关于维生素C的叙述错误的是( )
A.维生素C的化学式为C6H8O6
B.维生素C可作食品添加剂
C.维生素C可发生水解反应
D.维生素C不能发生氧化反应
参考答案:D
本题解析:
本题难度:一般
4、选择题 维生素C的结构简式为
,有关它的叙述错误的是( )
A.是一个环状的酯类化合物
B.易起氧化及加成反应
C.容易溶解于乙醇
D.在碱性溶液中能稳定地存在
参考答案:A.含-COOC-及环状结构,则是一个环状的酯类化合物,故A正确;
B.含-OH,易发生氧化反应,含C=C可发生氧化和加成反应,故B正确;
C.为多羟基物质,容易溶解于乙醇,故C正确;
D.含-COOC-,在碱性溶液中水解,则不能稳定存在,故D错误;
故选D.
本题解析:
本题难度:一般
5、选择题 下列分子具有正四面体结构的是
[? ]
A.
B.
C.
D.
参考答案:AD
本题解析:
本题难度:简单